Страница 3 - Соглашения; Примечания
Руководство пользователя iii Соглашения об обозначениях Следующий раздел описывает соглашения об обозначениях , используемых в этом документе . Примечания , предостережения и предупреждения В этом руководстве блоки текстов могут сопровождаться значком . Эти блоки являются примечаниями , предостереже...
Страница 5 - Содержание
Руководство пользователя v Содержание Соглашения об обозначениях . . . . . . . . . . . . . . . . . . . . . . . . . . . . . . . . . . . . . . . . . . . . . . . . . . . . . iii Примечания , предостережения и предупреждения . . . . . . . . . . . . . . . . . . . . . . . . . . . . . . . . iii 1 Характери...
Страница 7 - ЖК; Характеристики
Руководство пользователя 1–1 1 Характеристики продукта ЖК - мониторы HP ЖК - мониторы HP ( жидкокристаллические мониторы ) оснащены активной матрицей и экраном с тонкоплёночнымитранзисторами (TFT). В этом руководстве рассмотрены следующие модели : ■ ЖК - монитор vp15 ■ ЖК - монитор vp17 ■ ЖК - монит...
Страница 8 - Конструкции
Характеристики продукта 1–2 Руководство пользователя ■ Регулировка экранного меню для упрощения установки и оптимизации экрана ( можно выбрать английский , упрощённый китайский , французский , итальянский , испанский , голландский или японский языки ) ■ Возможность поворота монитора , которая позвол...
Страница 9 - Рекомендации; Важная; Меры; Техническое
Руководство пользователя 2–1 2 Рекомендации по безопасности и техническому обслуживанию Важная информация о безопасности Шнур питания предназначен для использования с данным монитором . При использовании другого шнура используйте только источник питания и разъем , совместимые с этим монитором . Å ПР...
Страница 11 - Распакуйте; Установка; Распаковка
Руководство пользователя 3–1 3 Установка монитора Распакуйте монитор 1. Распакуйте монитор . Убедитесь , что всё содержимое на месте . Сохраните упаковочную коробку . 2. Выключите компьютер и другие подключённые устройства . 3. Решите , где будет располагаться монитор : на столе или на стене . См . ...
Страница 12 - Сборка
Установка монитора 3–2 Руководство пользователя 1. Положите монитор в сложенном состоянии на плоскую поверхность экраном вверх . 2. Поверните монитор в горизонтальное положение ( ваше положение перед монитором указано на рисунке прямой стрелкой ). 3. Удерживая монитор за стойку , поднимите панель за...
Страница 16 - Подключение
Установка монитора 3–6 Руководство пользователя 7. Чтобы обеспечить надежное крепление монитора , следуйте инструкциям , прилагаемым к крепежному кронштейну . Четыре резьбовых крепежных отверстия на задней панели соответствуют стандартам VESA для крепления плоских мониторов . Монитор vp15 использует...
Страница 17 - HDMI
Установка монитора Руководство пользователя 3–7 Подключение кабеля HDMI Подключите один конец кабеля HDMI ( только у отдельных моделей ) к задней панели монитора , а другой – к источнику цифрового аудио - или видеосигнала , например к телевизионной приставке , DVD- проигрывателю или цифровому телеви...
Страница 19 - Прокладка; Регулировка
Установка монитора Руководство пользователя 3–9 Прокладка кабелей ЖК - мониторы HP оснащены двумя крючками или двумя желобами по обеим сторонам для прокладки кабелей . Кабели можно без труда закрепить , и они не видны при просмотре спереди . ✎ ПРИМЕЧАНИЕ . Если монитор снабжен поворотным соединением...
Страница 25 - Эксплуатация; Загрузка
Руководство пользователя 4–1 4 Эксплуатация монитора ПО и служебные программы на компакт - диске Компакт - диск , входящий в комплект монитора , содержит драйверы и ПО , которые можно установить на ваш компьютер . Установка драйверов Если необходимо обновить драйверы , можно установить файлы драйвер...
Страница 26 - Использование
Эксплуатация монитора 4–2 Руководство пользователя Использование функции авторегулировки Можно с легкостью оптимизировать работу экрана для входа VGA, используя кнопку Auto/Select ( Авто / Выбор ) на мониторе и предоставленное на компакт - диске ПО авторегулировки . Не пользуйтесь этим методом , есл...
Страница 33 - Оптимизация
Эксплуатация монитора Руководство пользователя 4–9 Оптимизация аналогового видеосигнала В данном мониторе содержится улучшеная электросхема , которая позволяет ему функционировать в режиме стандартного аналогового монитора . Аналоговое изображение можно регулировать с помощью двух элементов управлен...
Страница 35 - Подготовка; Демонтаж
Руководство пользователя 5–1 5 Подготовка монитора к транспортировке Храните оригинальную упаковочную коробку в складском помещении . Она может понадобиться позже при переносе или транспортировке монитора . При транспортировке ЖК - монитора HP необходимо отсоединить стойку монитора . Демонтаж стойки...
Страница 37 - Упаковка
Подготовка монитора к транспортировке Руководство пользователя 5–3 Упаковка монитора с двухшарнирной стойкой Вам не понадобится снимать стойку этого монитора . Перед транспортировкой приведите монитор с двухшарнирной стойкой в положение , в котором он был при поставке . Å ПРЕДУПРЕЖДЕНИЕ . Не кладите...
Страница 39 - Устранение
Руководство пользователя A–1 A Устранение неисправностей Устранение распространенных неполадок В представленной ниже таблице перечислены наиболее распространенные неполадки , их возможные причины и рекомендуемые решения : Неполадка Решение Индикатор питания не включен . Убедитесь , что кнопка питани...
Страница 41 - Местоположение
Устранение неисправностей Руководство пользователя A–3 Местоположение маркировки На маркировке монитора указаны номер продукта и серийный номер . Эти номера могут быть необходимы при обращении к НР по поводу вашей модели монитора . Маркировка находится на задней панели монитора .
Страница 43 - Технические
Руководство пользователя B–1 B Технические характеристики Все характеристики представляют собой типичные характеристики , предоставленные производителями компонентов НР ; действительные показатели могут быть выше или ниже указанных . ЖК - мониторы HP Защита экрана Противобликовый поляризатор с твёрд...
Страница 51 - Предварительная
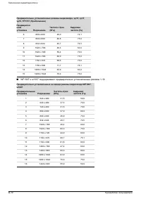
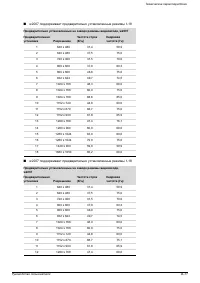
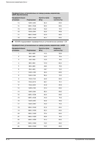
Технические характеристики Руководство пользователя B–9 Предварительная установка видеорежимов Этот монитор автоматически распознаёт многие предварительно установленные видеорежимы , которые отобразятся на экране с соответствующими размерами и центрированием . Следующие режимы заданы на заводе и явл...
Страница 57 - Регулирующие; Изменения
Руководство пользователя C–1 C Регулирующие документы агентства Уведомление Федеральной комиссии связи США Данное устройство прошло проверку и признано соответствующим предельно допустимым параметрам для цифровых устройств класса B в соответствии с частью 15 правил Федеральной комиссии связи США . П...
Страница 58 - Avis Canadien
Регулирующие документы агентства C–2 Руководство пользователя С вопросами по декларации о соответствии нормам FCC обращайтесь по адресу : Hewlett-Packard CompanyP. O. Box 692000, Mail Stop 510101Houston, Texas 77269-2000 Или Телефон : 1-281-514-3333 Точная идентификация изделия возможна по номеру де...
Страница 60 - Соответствие; Программа; as required by China’s
Регулирующие документы агентства C–4 Руководство пользователя Соответствие EPA ENERGY STAR ® Продукты , маркированные логотипом ENERGY STAR ® на упаковочной коробке соответствуют рекомендациям ENERGY STAR ® по эффективному использованию электроэнергии агентства по охране окружающей среды США . Проду...