Страница 3 - Условные; Примечания
Руководство пользователя iii Условные обозначения Условные обозначения , использованные в данном документе , описаны в следующем разделе . Примечания , предостережения и предупреждения В данном руководстве блоки текста могут сопровождаться пиктограммами . Такие блоки представляют собой примечания , ...
Страница 5 - Содержание
Руководство пользователя v Содержание Условные обозначения . . . . . . . . . . . . . . . . . . . . . . . . . . . . . . . . . . . . . . . . . . . . . . . . . . . . . . . . . . iii Примечания , предостережения и предупреждения . . . . . . . . . . . . . . . . . . . . . . . . . . . . . . . . iii 1 Харак...
Страница 7 - ЖК; Характеристики
Руководство пользователя 1–1 1 Характеристики продукта ЖК мониторы HP Экран жидкокристаллического ( ЖК ) монитора HP представляет собой активную матрицу , состоящую из тонкоплёночных (TFT) транзисторов . В данном руководстве рассмотрены следующие модели : ■ vp15 ЖК - монитор ■ vp17 ЖК - монитор ■ vp...
Страница 8 - Конструкции
Характеристики продукта 1–2 Руководство пользователя ■ Функция Plug and Play, если она поддерживается вашей компьютерной системой ■ Экранный дисплей (OSD) для облегчения настройки и оптимизации экрана ( выбор языков : английский , упрощённый китайский , французский , немецкий , итальянский , испанск...
Страница 9 - Рекомендации; Важная; Меры
Руководство пользователя 2–1 2 Рекомендации по безопасности и обслуживанию Важная информация по безопасности Кабель питания предназначен для использования с вашим монитором . При использовании другого кабеля его разъём и источник питания должны быть совместимы с этим монитором . Å ПРЕДУПРЕЖДЕНИЕ . В...
Страница 11 - Подготовка; Распаковка; Установка
Руководство пользователя 3–1 3 Подготовка монитора к работе Распаковка монитора 1. Распакуйте монитор Убедитесь , что всё содержимое на месте . Сохраните упаковочную коробку . 2. Выключите компьютер и другие подсоединённые устройства . 3. Решите , как вы хотите разместить монитор : установить на сто...
Страница 12 - Развёртывание
Подготовка монитора к работе 3–2 Руководство пользователя Развёртывание двухшарнирного монитора Å ПРЕДУПРЕЖДЕНИЕ . Не кладите двухшарнирный монитор экраном вниз для упаковки . Шарнир основания может раскрыться и причинить серьёзные повреждения или травму . 1. Пока монитор находится в плоском , сложе...
Страница 17 - HDMI
Подготовка монитора к работе Руководство пользователя 3–7 Подсоединение кабелей VGA ( аналоговый ) или DVI-D ( цифровой ) Используйте видеокабели VGA или DVI-D ( поставляемый с некоторыми моделями ). Для использования DVI необходимо иметь графическую плату , поддерживающую DVI. Разъемы расположены н...
Страница 18 - Звуковые
Подготовка монитора к работе 3–8 Руководство пользователя Звуковые кабели , видеокабели и адаптеры В следующей таблице представлены сведения о типах кабелей и адаптеров , которые могут потребоваться для подключения монитора к компьютеру , телевизору или компьютерной приставке . Число и тип требуемых...
Страница 21 - Управление
Подготовка монитора к работе Руководство пользователя 3–11 Управление кабелями В ЖК - мониторах HP имеется два крючка или два кабельных канала с обеих сторон для управления кабелями . Кабели могут быть легко защищены и сделаны невидимыми спереди . ✎ ПРИМЕЧАНИЕ . Если ваш монитор оснащён поворотным у...
Страница 22 - Корректировка
Подготовка монитора к работе 3–12 Руководство пользователя Корректировка наклона Для оптимального просмотра , откорректируйте угол наклона дисплея следующим образом : 1. Находясь лицом к монитору , возьмитесь за основание , чтобы монитор не опрокинулся при изменении угла наклона . 2. Изменяйте угол ...
Страница 26 - Парковка
Подготовка монитора к работе 3–16 Руководство пользователя Парковка клавиатуры Если вам требуется больше места на рабочем столе , поместите клавиатуру под монитор ( только в отдельных моделях ), когда она не используется .
Страница 27 - Эксплуатация; Компакт; Загрузка
Руководство пользователя 4–1 4 Эксплуатация монитора Компакт - диск с программным обеспечением и утилитами Компакт - диск , поставляемый с данным монитором , содержит драйверы и программное обеспечение , которое вы можете установить на свой компьютер . Установка драйверов Если вы считаете , что вам ...
Страница 28 - Использование; Программное
Эксплуатация монитора 4–2 Руководство пользователя Использование функции автоматической настройки Вы можете легко оптимизировать параметры экрана для входа VGA, используя кнопку Auto/Select ( авто / выбор ) в мониторе и программное обеспечение автонастройки на поставляемом компакт - диске . Не приме...
Страница 35 - Оптимизация
Эксплуатация монитора Руководство пользователя 4–9 Оптимизация аналогового видео В данном мониторе имеется усовершенствованная схема , позволяющая ему работать как обычный аналоговый монитор . Для улучшения качества аналогового изображения можно использовать две опции из экранного меню : ■ Clock ( с...
Страница 37 - Демонтаж
Руководство пользователя 5–1 5 Подготовка монитора к транспортировке Сохраняйте фирменную упаковочную коробку . Она может вам потребоваться , если придётся перевозить монитор . При транспортировке ЖК - монитора HP, возможно , придётся отсоединить от монитора основание . Демонтаж основания монитора Å...
Страница 39 - Укладка
Подготовка монитора к транспортировке Руководство пользователя 5–3 Укладка двухшарнирного монитора Нет необходимости отделять основание этого монитора для транспортировки . Уложите двухшарнирный монитор в первоначальное транспортировочное положение . Å ПРЕДУПРЕЖДЕНИЕ . Не кладите двухшарнирный монит...
Страница 41 - Разрешение
Руководство пользователя A–1 A Разрешение проблем Разрешение распространённых проблем В следующей таблице представлен список возможных проблем , вероятные причины каждой проблемы и рекомендуемые решения . Проблема Решение Светодиод питания не включается Удостоверьтесь , что включена кнопка Power ( п...
Страница 42 - Размещение
Разрешение проблем A–2 Руководство пользователя Получение поддержки от hp.com Перед тем , как обращаться в службу поддержки клиентов , воспользуйтесь веб - сайтом технической поддержки HP по адресу : http://www.hp.com/support Выберите страну / регион и следуйте ссылкам на странице поддержки вашего м...
Страница 43 - Технические
Руководство пользователя B–1 B Технические характеристики Все характеристики представляют собой типичные спецификации , предоставляемые производителями компонентов оборудования HP. Фактические характеристики могут отличаться от указанных . ЖК мониторы HP Покрытие : антибликовая поляризация с прочным...
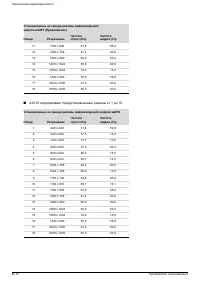
Страница 49 - Предустановленные
Технические характеристики Руководство пользователя B–7 Предустановленные режимы работы дисплея Монитор автоматически распознаёт многие предварительно установленные режимы видеовхода , при которых будет появляться изображение корректного размера и правильно отцентрированное на экране . На заводе уст...
Страница 55 - Уведомления; Модификации
Руководство пользователя C–1 C Уведомления регулирующих органов Уведомление Федеральной комиссии по связи Данное устройство проверено и признано соответствующим требованиям , предъявляемым к цифровым устройствам класса B, согласно части 15 Правил ФКС . Эти требования призваны обеспечить разумную сте...
Страница 56 - Avis Canadien
Уведомления регулирующих органов C–2 Руководство пользователя Утилизация материалов Во флуоресцентной лампе жидкокристаллического монитора HP содержится ртуть , утилизация которой по истечении срока службы компонентов может потребовать специальной обработки : Утилизация этого материала может регулир...
Страница 57 - EPA ENERGY STAR
Уведомления регулирующих органов Руководство пользователя C–3 Уведомление для пользователей в Японии Уведомление для пользователей кабеля питания в Японии Заявление об использованных материалах для Японии Нормативные требования Японии , определенные в Спецификации JIS C 0950, 2005 г ., предписывают ...