Холодильник Liebherr CU 2221_CU 2721_CU 301_CU 3021_CU 321 - инструкция пользователя по применению, эксплуатации и установке на русском языке. Мы надеемся, она поможет вам решить возникшие у вас вопросы при эксплуатации техники.
Если остались вопросы, задайте их в комментариях после инструкции.
"Загружаем инструкцию", означает, что нужно подождать пока файл загрузится и можно будет его читать онлайн. Некоторые инструкции очень большие и время их появления зависит от вашей скорости интернета.

21
- одл с с 4 о боо. 4& окуко& бл с у-
с соо& олодло& к, коо гу с4 ксо,
длл& сок слу б соку фук0олу д ос.
Обоудо 4го бо оол до сок& кофо обслу .
С оо 5ого бо, гоолого о0сс, ос д оку &
сд, с соосу ооо солу ло, ос
сос& к& клд со 4& оку & сд.
6об окос со с ус 4го оого бо, о лу&с, -
ло о ук к 5о& "8сук0 о оло".
- л ого удоолс с 4 о боо.
Сод)
С0
1сук0 о ол!/о
9косо с боо .................................. 20
* соло .................................... 21
Сс2 фо0 ..................................... 21
Сод ..................................................... 21
Усло ............................................................ 21
1
Ук о босос скоу
обслу ................................................. 22
Ук о ус оодо ................. 22
Ук о усок ................................... 22
*сод ................................................ 22
2 Ол д с ....................................... 23
кл кл ............................. 23
Усок у ................................. 23
клл
Cool-Plus ....................................
2
3
Ук к ол д ................................ 23
3 9о с ................................. 23
*гоол кубко лд ........................ 23
Ук к о ..... 23
4 О, ск ........................................ 24
=коо 5г ........................................... 24
5 *обл сос .............................. 25
Слу б ссого обслу
ф блк ...................................... 25
1сук0 о усо к обоудо
С уо д& ....................................... 25
дг куоу ск0 .............................. 25
Усло
W
*бо д дл ол д, о-
одуко , к
дл гоол лд. О скосуо дл
соло до4 о&с. * со-
ло оодс облс собл-
д д&су о4лос оло .
W
*бо сос о клсс кл с-
с дл бо ог
у оку & сд. О
дол б л 4! Кс-
с 4го бо клсс кл о
фо& блк. =о о:
Клсс кл сс дл у
оку & сд
SN
+10 °C
до
+32 °C
N
+16 °C
до
+32 °C
ST
+18 °C
до
+38 °C
T
+18 °C
до
+43 °C
-
@кл олодлого г о лоос.
- *бо соосу соосу оло -
босос, к осо л
EG/
'С, 'о&ск& Со, 73/23/
EWG
, '=С,
'о&ско 5кооско сообсо
89/336/
EWG
, '=С.
3 соло) $ одуко
с.
A
1
-сло, с
2 D&0
3 (Fс) бк, к, булк
4 Кос, к
5 -оло одук
6 Со олодо олодло одл:
усл одук, с/
колбс дл, б, одук
соого олок, гоо блд
7 Фук, оо, сл
8 9о & одук, кубк лд
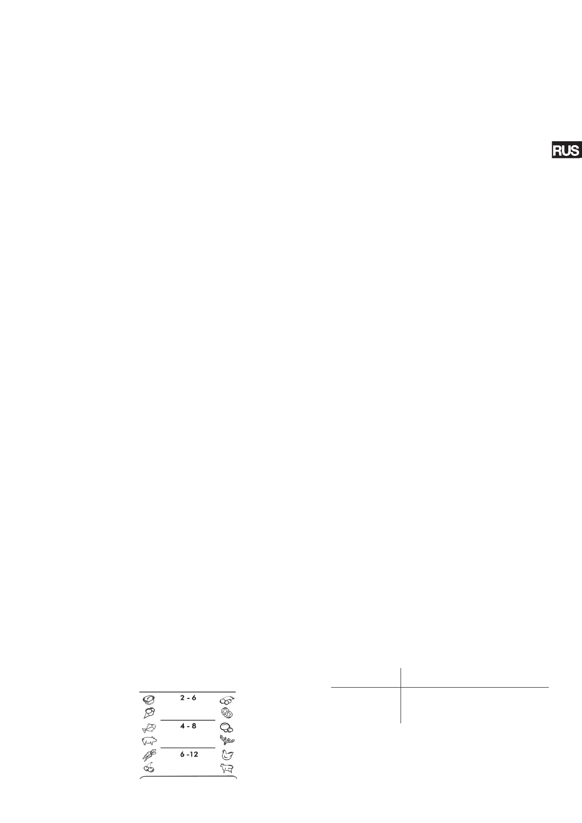
Сс4 фо0
9оо 22 22 одук дол б
соло 222 2ко2до соко
2.
6сл 2 ду сол ук дл2лос
2 2с0, соо2с2о дл
о 2 до одуко.
Ук2 сок 2 лс о2оо-
2 дл с2 2оо 2 2
одуко. Д2&с2ло л 22 л 222
22, с о к2с 2 одуко
2д2ло& оббок до о . Дл
2 одуко с2гд д2&с2л
2 2.
Сол оо 2 одуко о:
Гоо2 блд
Д
-оо 2о2
б
С
Оо
Фук
Колбс
Гб
Iл2б
*0
Год/
2л
Jло "8сук0 о оло"
слу ободос д& слду-
у лдл0у.
"8сук0 о оло" д&сл дл
ог одл&. * 5о оо окло.