Fubag TI 7000 A ES - Инструкция по эксплуатации

Fubag TI 7000 A ES

Генератор Fubag TI 7000 A ES - инструкция пользователя по применению, эксплуатации и установке на русском языке. Мы надеемся, она поможет вам решить возникшие у вас вопросы при эксплуатации техники.

Если остались дополнительные вопросы — свяжитесь с нами через контактную форму.

1 Страница 1
2 Страница 2
3 Страница 3
4 Страница 4
5 Страница 5
6 Страница 6
7 Страница 7
8 Страница 8
9 Страница 9
10 Страница 10
11 Страница 11
12 Страница 12
13 Страница 13
14 Страница 14
15 Страница 15
16 Страница 16
17 Страница 17
18 Страница 18
19 Страница 19
20 Страница 20
21 Страница 21
22 Страница 22
23 Страница 23
24 Страница 24
25 Страница 25
26 Страница 26
27 Страница 27
28 Страница 28
29 Страница 29
30 Страница 30
31 Страница 31
32 Страница 32
33 Страница 33
34 Страница 34
35 Страница 35
Страница: / 35

Содержание:

  • Страница 2 – Инструкция по эксплуатации; Информация по технике безопасности; прочтите следующую информацию.
  • Страница 3 – Компоненты электростанции; ПАНЕЛЬ УПРАВЛЕНИЯ
  • Страница 4 – ФУНКЦИИ УПРАВЛЕНИЯ; • ВЫКЛ
  • Страница 5 – ВКЛ
  • Страница 7 – Проверка перед эксплуатацией; ПРОВЕРЬТЕ УРОВЕНЬ МАСЛА; двигателя и аннулирует гарантию.
  • Страница 8 – Запрещается смешивать разные типы масел.; ПРОВЕРЬТЕ УРОВЕНЬ ТОПЛИВА
  • Страница 9 – ПРОВЕРЬТЕ ВОЗДУШНЫЙ ФИЛЬТР; • Осмотрите элемент, почистите его или замените при необходимости.; ПРОВЕКА АККУМУЛЯТОРА
  • Страница 10 – ЗАЗЕМЛЕНИЕ ЭЛЕКТРОСТАНЦИИ; ЭЛЕКТРОСТАНЦИЯ ДОЛЖНА БЫТЬ ЗАЗЕМЛЕНА ПЕРЕД ЭКСПЛУАТАЦИЕЙ.
  • Страница 11 – Установите дроссельную заслонку в положение «ЗАКРЫТО».
  • Страница 12 – щаться на свое место слишком быстро.; ЗАПУСК ЭЛЕКТРОСТАРТЕРОМ
  • Страница 14 – ПОДГОТОВКА И ЭКСПЛУАТАЦИЯ В ЗИМНЕЕ ВРЕМЯ; щего воздуха устанавливается ниже +5; Использование электростанции; ветствии с действующими электрическими нормами и правилами.
  • Страница 15 – УСТРОЙСТВА ПЕРЕМЕННОГО ТОКА; Воткните штекер в розетку и включите электроприборы.; ИНДИКАТОР ВЫХОДА И ПЕРЕГРУЗКИ
  • Страница 16 – СИСТЕМА ЗАЩИТЫ НИЗКОГО УРОВНЯ МАСЛА; Проверьте уровень масла в двигателе и при необходимости долейте.; ПОДКЛЮЧЕНИЕ БЛОКА АВТОМАТИКИ
  • Страница 17 – Выключение двигателя; НОРМАЛЬНОЕ ВЫКЛЮЧЕНИЕ; топливо. Это продлит срок службы электростанции.; Установите выключатель двигателя в положение «СТОП».; АВАРИЙНОЕ ВЫКЛЮЧЕНИЕ; Установите выключатель двигателя в положение «ВЫКЛ».
  • Страница 18 – Техническое обслуживание
  • Страница 20 – ОБСЛУЖИВАНИЕ ВОЗДУШНОГО ФИЛЬТРА; возможен быстрый износ двигателя.; чистите его керосином и высушите.
  • Страница 21 – ОБСЛУЖИВАНИЕ СВЕЧИ ЗАЖИГАНИЯ
  • Страница 22 – Извлеките аккумулятор из поддона и замените его на новуый.; Очистка фильтра топливного бака; Снимите топливную крышку и фильтр.
  • Страница 23 – Транспортировка и хранение; находиться в нормальном рабочем положении.
  • Страница 24 – топливо в подходящую емкость.
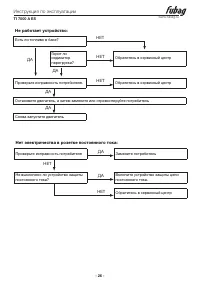
  • Страница 25 – Поиск и устранение неисправностей; Когда двигатель не удается запустить:
  • Страница 26 – Нет электричества в розетке постоянного тока:
  • Страница 27 – Технические характеристики
  • Страница 28 – Гарантийные обязательства; ремонт не является основанием для других претензий.
  • Страница 32 – АДРЕСА СЕРВИСНЫХ ЦЕНТРОВ:
  • Страница 34 – В связи с постоянным увеличением числа Сервисных Центров,
  • Страница 35 – Горячая линия FUBAG; Oper; Inverter power station; Инверторная электростанция; TI
Загрузка инструкции

Горячая линия FUBAG

тел.: (495) 641-31-31

info@fubag.ru

www.fubag.ru

Oper

at

or's Manual

Инструкция

по

эксплуатации

Inverter power station

Инверторная электростанция

TI

7000 A ES

www.fubag.ru

"Загрузка инструкции" означает, что нужно подождать пока файл загрузится и можно будет его читать онлайн. Некоторые инструкции очень большие и время их появления зависит от вашей скорости интернета.

Краткое содержание

Страница 2 - Инструкция по эксплуатации; Информация по технике безопасности; прочтите следующую информацию.

Инструкция по эксплуатации TI 7000 A ES www.fubag.ru - 2 - 1. Информация по технике безопасности Для обеспечения безопасности персонала и оборудования, пожалуйста, внимательно прочтите следующую информацию. ИНФОРМАЦИЯ ДЛЯ ОПЕРАТОРАПредупреждение! •  Прочтите данное руководство перед первой работой с...

Страница 3 - Компоненты электростанции; ПАНЕЛЬ УПРАВЛЕНИЯ

TI 7000 A ES Инструкция по эксплуатации www.fubag.ru - 3 - 2. Компоненты электростанции 1 Ручка для транспортировки 2 Крышка топливного бака 3 Складная ручка 4 Панель управления 5 Ножка 6 Аккумулятор 7 Колесо 1 Индикатор уровня топлива 2 Глушитель 3 Воздушный фильтр 4 Рукоятка стартера 1 1 2 2 3 3 4...

Страница 4 - ФУНКЦИИ УПРАВЛЕНИЯ; • ВЫКЛ

Инструкция по эксплуатации TI 7000 A ES www.fubag.ru - 4 - 2.2 ФУНКЦИИ УПРАВЛЕНИЯ Дроссельная заслонка Закрыто Рис. 2.4 2.2.1 Рычаг дроссельной заслонки Заслонка может поворачиваться в позицию «ЗАКРЫТО» и «ОТКРЫТО».•  ЗАКРЫТО: для запуска при холодном двига- теле.•  ОТКРЫТО: для запуска разогретого ...

Характеристики

Другие модели - Генераторы Fubag

Все генераторы Fubag