Kodak C503_C533 EasyShare - Инструкция по эксплуатации - Страница 69

Фотоаппараты Kodak C503_C533 EasyShare - инструкция пользователя по применению, эксплуатации и установке на русском языке. Мы надеемся, она поможет вам решить возникшие у вас вопросы при эксплуатации техники.

Если остались вопросы, задайте их в комментариях после инструкции.

"Загружаем инструкцию", означает, что нужно подождать пока файл загрузится и можно будет его читать онлайн. Некоторые инструкции очень большие и время их появления зависит от вашей скорости интернета.
Страница:
/ 83
Загружаем инструкцию
background image

www.kodak.com/go/support

 63

RU

     

 : :  Kodak.  ,  :   
      :  .

$ $        ++   , 
   ) $   .

  = 

   :       
  : ,   .

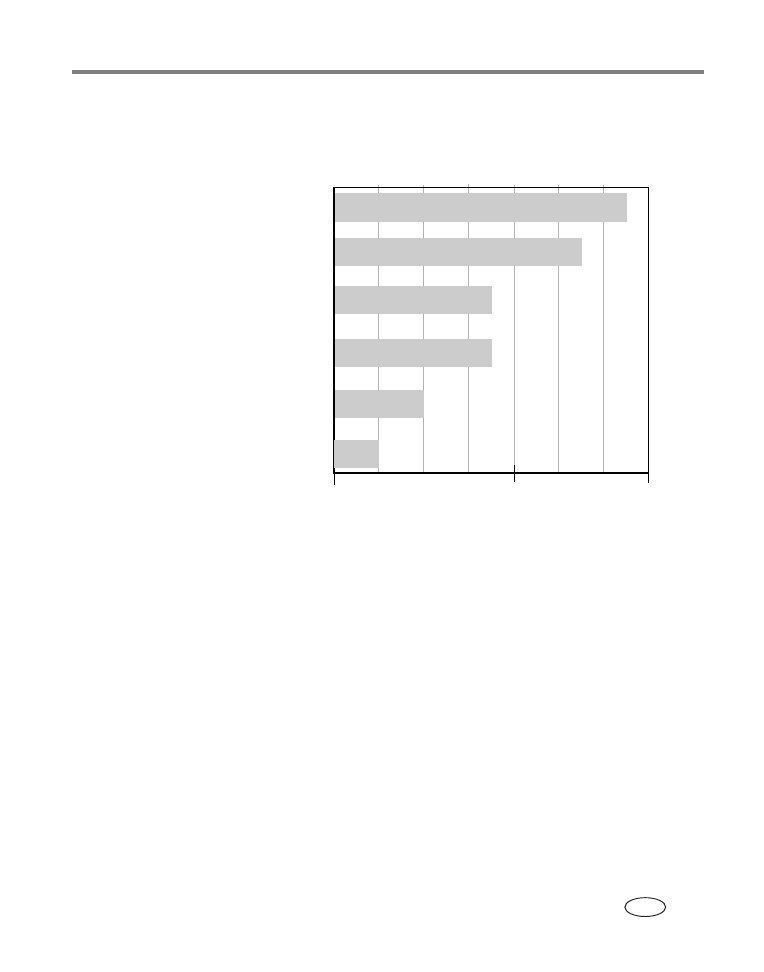
0

700

450-650

350-550

250-350

250-350

L   CRV3

2     AA

Ni-MH  

 +

( )

2 Ni-MH

 AA ( )

%       CIPA (. =    
   Auto ($ ),    SD 128 !\). [=    
         .

2 ?=   AA

2 ?=   AA

100-200

70-100

400

Полезные видео

Характеристики

Оцените статью
tehnopanorama.ru
Остались вопросы?

Не нашли свой ответ в руководстве или возникли другие проблемы? Задайте свой вопрос в форме ниже с подробным описанием вашей ситуации, чтобы другие люди и специалисты смогли дать на него ответ. Если вы знаете как решить проблему другого человека, пожалуйста, подскажите ему :)

Задать вопрос

Часто задаваемые вопросы
Как посмотреть инструкцию к Kodak C503_C533 EasyShare?
Необходимо подождать полной загрузки инструкции в сером окне на данной странице
Руководство на русском языке?
Все наши руководства представлены на русском языке или схематично, поэтому вы без труда сможете разобраться с вашей моделью
Как скопировать текст из PDF?
Чтобы скопировать текст со страницы инструкции воспользуйтесь вкладкой "HTML"