Страница 2 - Инструкция по эксплуатации и тех обслуживанию. Бензопила. стр. 2; Подготовка при первом запуске двигателя бензопилы:
Инструкция по эксплуатации и тех обслуживанию. Бензопила. стр. 2 Уважаемый покупатель! Компания выражает Вам свою глубочайшую признательность за приобретение данного бензоинструмента. Внимание! Бензоинструменты относятся к бытовому классу. Внимательно прочтите данную инструкцию! После непрерывной ра...
Страница 3 - Инструкция по эксплуатации и тех обслуживанию. Бензопила. стр. 3; ЗАПРЕЩАЕТСЯ
Инструкция по эксплуатации и тех обслуживанию. Бензопила. стр. 3 масло высшего качества для двухтактных двигателей садовой техники с воздушным охлаждением с пропорцией смешивания 25:1. ЗАПРЕЩАЕТСЯ ИСПОЛЬЗОВАТЬ МАСЛА С ДРУГОЙ ПРОПОРЦИЕЙ СМЕШИВАНИЯ! Внимательно изучите данную инструкцию по эксплуатаци...
Страница 4 - Инструкция по эксплуатации и тех обслуживанию. Бензопила. стр. 4; Техника безопасности при работе с бензопилой
Инструкция по эксплуатации и тех обслуживанию. Бензопила. стр. 4 ботинки, каска, или наушники должны использоваться для соответствующих условий. Техника безопасности при работе с бензопилой 1. Запрещается работать бензопилой одной рукой. Результатом могут быть тяжкие травмы, причиненные работающему ...
Страница 5 - Инструкция по эксплуатации и тех обслуживанию. Бензопила. стр. 5; Избежание отброса шины пилы
Инструкция по эксплуатации и тех обслуживанию. Бензопила. стр. 5 19. Заглушите двигатель, перед тем как выпустить бензопилу из рук. 20. Держите бензопилу надежно обеими руками. 21. Заглушите двигатель при проведении всяких регулировок, как, например, проверка натяжения цепи. 22. Храните бензопилу вд...
Страница 6 - Установка пильной шины и пильной цепи
Отбросы вперед и назад: А- вперед (при заклинивании) В- дерево С- назад Установка пильной шины и пильной цепи Стандартная штучная упаковка пилы содержит указанные компоненты. Откройте коробку и установите пильную шину и пильную цепь на силовой агрегат следующим образом: У пильной цепи очень острые к...
Страница 7 - Инструкция по эксплуатации и тех обслуживанию. Бензопила. стр. 7; Колпаки для цепи
Инструкция по эксплуатации и тех обслуживанию. Бензопила. стр. 7 4. Примечание: Обращайте внимание на правильное направление пильной цепи. 5. Прикрепите крышку цепи к силовому агрегату и закрепите гайки с усилием от руки. 6. Удерживая конец пильной шины, настройте натяжение цепи поворотом винта меха...
Страница 8 - Инструкция по эксплуатации и тех обслуживанию. Бензопила. стр. 8; Топливо и масло для цепи
Инструкция по эксплуатации и тех обслуживанию. Бензопила. стр. 8 Топливо и масло для цепи • Бензин очень легко воспламеняется ! Избегайте курения или попадания пламени или искр вблизи топлива. Убедитесь в остановке двигателя и позвольте ему остыть перед заправкой агрегата. Выберите чистую площадку н...
Страница 9 - Инструкция по эксплуатации и тех обслуживанию. Бензопила. стр. 9; Заправка агрегата
Инструкция по эксплуатации и тех обслуживанию. Бензопила. стр. 9 Заправка агрегата 1. Развинтите и удалите топливную крышку. Поместите ее в свободное от пыли место. 2. Залейте топливо в топливный бак на 80% полного объема. 3. Надежно закрепите крышку и вытрите пролитое топливо вокруг агрегата. Преду...
Страница 10 - Инструкция по эксплуатации и тех обслуживанию. Бензопила. стр. 10; Масло для цепи
Инструкция по эксплуатации и тех обслуживанию. Бензопила. стр. 10 Масло для цепи Используйте моторное масло SAE # 10W-30 круглый год или SAE #30~#40 летом и SAE #20 зимой. Примечание: не используйте отработанное или восстановленное масло, которое может вызвать повреждение масляного насоса. Управлени...
Страница 11 - Инструкция по эксплуатации и тех обслуживанию. Бензопила. стр. 11; Проверка подачи масла; игла
Инструкция по эксплуатации и тех обслуживанию. Бензопила. стр. 11 Примечание: как только рычаг воздушной заслонки был вытащен, он не вернется в исходное положение, даже если вы нажмете на него пальцем! Если вы хотите вернуть его в рабочее положение, Нажмите на рычаг газа. 5. Надежно удерживая пилу н...
Страница 12 - Инструкция по эксплуатации и тех обслуживанию. Бензопила. стр. 12; При настройке выполните следующие шаги:
Инструкция по эксплуатации и тех обслуживанию. Бензопила. стр. 12 При настройке выполните следующие шаги: 1. Остановите двигатель и ввинтите и иглу H, и иглу L до тех пор, пока они не остановятся. Никогда не вставляйте их с усилием. Затем переместите их назад на начальное количество поворотов, как п...
Страница 13 - Инструкция по эксплуатации и тех обслуживанию. Бензопила. стр. 13; Защита от отдачи
Инструкция по эксплуатации и тех обслуживанию. Бензопила. стр. 13 распиливать другие типы материалов. Вибрация и отдача различаются у разных материалов, и требования техники безопасности не будут соблюдены. Не используйте бензопилу как рычаг для поднятия, перемещения или раскалывания предметов. Не к...
Страница 14 - Инструкция по эксплуатации и тех обслуживанию. Бензопила. стр. 14; Валка дерева
Инструкция по эксплуатации и тех обслуживанию. Бензопила. стр. 14 Валка дерева 1. Определите направление валки с учетом ветра, наклона дерева, расположения тяжелых ветвей, легкости выполнения задачи после валки и других факторов. 2. Во время расчистки области вокруг дерева подготовьте хорошую опору ...
Страница 15 - Инструкция по эксплуатации и тех обслуживанию. Бензопила. стр. 15; После каждого использования:; Для соединения половинок очистителя нажмите на ободок, пока он не; Масляный порт; Когда пильная шина разобрана, удалите опилки в бороздке шины и; Другое; Проверьте на предмет утечки топлива и ослабленных креплений и; масляный порт
Инструкция по эксплуатации и тех обслуживанию. Бензопила. стр. 15 После каждого использования: • Воздушный фильтр Пыль на поверхности очистителя может быть удалена посредством легкого постукивания угла очистителя о твердую поверхность. Для счистки грязи в ячейках разделите очиститель на половинки и ...
Страница 16 - Инструкция по эксплуатации и тех обслуживанию. Бензопила. стр. 16; Топливный фильтр
Инструкция по эксплуатации и тех обслуживанию. Бензопила. стр. 16 Точки периодического обслуживания: Охлаждающие ребра цилиндра Забившаяся пыль между охлаждающими ребрами цилиндра вызовет перегревание двигателя. Периодически проверяйте и чистите охлаждающие ребра цилиндра после удаления очистителя в...
Страница 17 - Инструкция по эксплуатации и тех обслуживанию. Бензопила. стр. 17; Свеча зажигания; топливный фильтр
Инструкция по эксплуатации и тех обслуживанию. Бензопила. стр. 17 • Свеча зажигания Очистите электроды проволочной щеткой и переустановите зазор на 0,65 мм, как требуется. • Цепное колесо Проверьте на трещины и избыточный износ, которые вмешиваются в работу цепного привода. Если износ значителен, за...
Страница 18 - Инструкция по эксплуатации и тех обслуживанию. Бензопила. стр. 18; соответствие резцов
Инструкция по эксплуатации и тех обслуживанию. Бензопила. стр. 18 Стандарты настройки резцов: Обязательно надевайте защитные перчатки Перед заточкой напильником: • Убедитесь, что пильная цепь надежно закреплена • Убедитесь, что двигатель остановлен • Используйте круглый напильник подходящего размера...
Страница 19 - Инструкция по эксплуатации и тех обслуживанию. Бензопила. стр. 19; • Пильная шина; изношена. Такую шину нужно корректировать или заменять.
Инструкция по эксплуатации и тех обслуживанию. Бензопила. стр. 19 • Пильная шина • Переворачивайте шину время от времени для предотвращения частичного износа. • Направляющая шины должна всегда быть прямоугольной. Проверяйте ее на наличие износа. Проверяйте шину и внешнюю сторону резца с линейкой. Ес...
Страница 20 - Инструкция по эксплуатации и тех обслуживанию. Бензопила. стр. 20; Руководство по выявлению неисправностей; Случай 1. Неполадки при старте
Инструкция по эксплуатации и тех обслуживанию. Бензопила. стр. 20 Руководство по выявлению неисправностей Случай 1. Неполадки при старте Убедитесь, что система по предотвращению обледенения не работает Случай 2. нехватка мощности/ плохое ускорение/ грубый холостой режим Проверьте топливо на воду или...
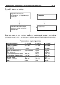
Страница 21 - Инструкция по эксплуатации и тех обслуживанию. Бензопила. стр. 21; Технические характеристики
Инструкция по эксплуатации и тех обслуживанию. Бензопила. стр. 21 Случай 3. Масло не выходит Если вам кажется, что агрегату требуется дальнейший сервис, пожалуйста, проконсультируйтесь с авторизованным центром сервиса в вашем регионе. Технические характеристики Номер модели ПТ-99386 ПТ-99416 ПТ-9941...
Страница 22 - Инструкция по эксплуатации и тех обслуживанию. Бензопила. стр. 22; Гарантийные обязательства.
Инструкция по эксплуатации и тех обслуживанию. Бензопила. стр. 22 модель ПТ-99466 ПТ-99468 Тип двигателя 1- цилиндровый, 2х- тактный, принудительного воздушного охлаждения 1- цилиндровый, 2х- тактный, принудительного воздушного охлаждения Номинальная мощность 1,8 кВт 1,8 кВт Число оборотов холостого...