Электронные книги PocketBook Touch HD 3 - инструкция пользователя по применению, эксплуатации и установке на русском языке. Мы надеемся, она поможет вам решить возникшие у вас вопросы при эксплуатации техники.
Если остались вопросы, задайте их в комментариях после инструкции.
"Загружаем инструкцию", означает, что нужно подождать пока файл загрузится и можно будет его читать онлайн. Некоторые инструкции очень большие и время их появления зависит от вашей скорости интернета.

Настройки
93
1
2
3
Подсветка
– используйте переключатель
ON\OFF
,
чтобы включить или выключить подсветку
.
Расширенные настройки подсветки
– вы можете
создать собственные конфигурации настроек и
управлять ими.
•
Новые настройки
– позволяет создавать ваши
персональные настройки автоматической регулировки
Подсветки
.
•
По умолчанию
– заводские настройки
автоматической регулировки
Подсветки
.
В этом же разделе будут отображаться ваши
персональные настройки по мере их создания.
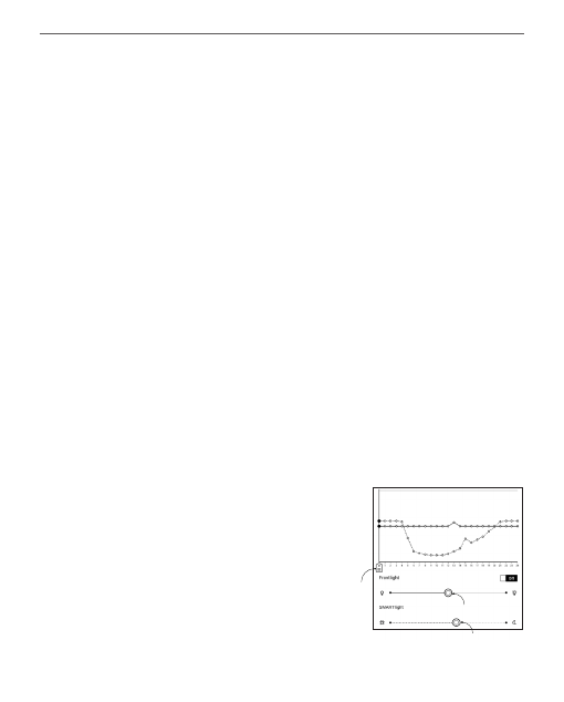
При создании новой конфигурации настроек на экране
будет показываться график, на котором вы сможете
устанавливать яркость
Подсветки
и ее световую температуру
SMARTlight
. Для определения
параметра установите курсор
(Сн.1) на нужное время на графике
и, перемещая ползунки под
Содержание
- 6 Меры предосторожности; Условия хранения, транспортировки и использования
- 7 Обслуживание
- 9 Радиочастотная безопасность
- 10 Утилизация
- 12 Внешний вид; Домой; Подсветка
- 13 Технические характеристики
- 14 ЗАРЯДКА АККУМУЛЯТОРА; Зарядить аккумулятор можно; Приступая к работе
- 15 Соедините Устройство с компьютером или за-
- 16 УПРАВЛЕНИЕ УСТРОЙСТВОМ
- 17 ВНЕШНИЙ ВИД ГЛАВНОГО МЕНЮ
- 18 Прикоснитесь или потяните вниз иконку; светка экрана
- 19 ЖЕСТЫ УПРАВЛЕНИЯ; Нажатие
- 20 Прокручивание
- 21 клавиатуры
- 22 на Вашем
- 23 ПОДСВЕТКА ЭКРАНА; Для вызова меню управления «Подсветка экрана» не-; Общее управление подсветкой.; ключателя
- 24 По умолчанию эта функция находится в; ON; ) ползунок на экране становится
- 26 Расширенные настройки; ступ к сети
- 27 Вручную; Чтобы подключиться к скрытой сети:; Подключение к скрытой сети
- 28 Для проверки настроек и подключения к сети
- 29 Приложения; Остальные приложения доступны в меню приложений.
- 30 БИБЛИОТЕКА; Библиотеки; МАГАЗИН
- 31 «Войти/Создать учетную запись»
- 33 БРАУЗЕР; Для ввода адреса веб-страницы коснитесь адресной
- 34 В меню браузера Вы можете настроить масштаб, про-; СТАНДАРТНЫЕ
- 35 Галерея; JPEG; RSS Новости; RSS
- 36 Удалить; hrss
- 37 ИГРЫ; Классический пасьянс.; Судоку; Для чтения новостей выберите пункт
- 38 Чтобы записать цифру в клетку игрового
- 40 Шахматы
- 41 Dropbox PocketBook; Dropbox; ИНТЕРАКТИВНЫЕ
- 42 С чего начать
- 43 Как синхронизировать; и в папку синхронизации на Устройстве, бу-
- 44 Книги по email; Зарегистрируйтесь в сервисе
- 45 В открывшемся окне регистрации введите кон-
- 46 После активации обновите окно регистрации; Как получить файлы на Устройство; Файлы, отправленные на электронный адрес
- 47 или в разделе; Список доверенных отправителей
- 49 Чтение книг; Для открытия книги нажмите ее название в
- 50 ЗОНЫ КАСАНИЙ ПРИ ЧТЕНИИ; Листание страниц
- 51 МЕНЮ ЧТЕНИЯ
- 52 Вы можете управлять яркостью; Подсветки
- 53 СОЦИАЛЬНЫЕ СЕТИ И READRATE; Теперь Вы сможете прямо на Вашем
- 54 Статус чтения, рекомендация и оценка книги; Нажмите одну из опций (
- 55 ОК; Рекомендовать; мендация и оценка книги
- 56 Поделиться цитатой; Поделиться
- 57 Все действия Ваших друзей на
- 58 Выключено; СОДЕРЖАНИЕ
- 60 СЛОВАРЬ; Словарь
- 61 Чтобы загрузить новые словари на ваше устройство:; ЗАМЕТКИ
- 62 Заметка; НАСТРОЙКИ ЧТЕНИЯ
- 63 Чтобы произвести настройки для книг форматов
- 64 Вкладка; PDF и DjVU; Компоновки
- 65 PDF
- 66 Обрезка полей
- 68 ПЕРЕХОД ПО ССЫЛКАМ; Выход; ЗАГРУЗКА ФАЙЛОВ В ПАМЯТЬ УСТРОЙСТВА; Присоедините Устройство с помощью
- 69 USB; Загрузка защищенных электронных книг (Adobe DRM); Sign in > Create an Adobe Account
- 70 Продукты > Все продукты
- 71 Найдите и откройте этот файл на Устройстве.; Загрузка книги через ПК; Откройте приложение Adobe Digital Editions.
- 72 Выберите иконку
- 73 Вариант 1
- 74 . Если все процессы синхронизации завер-
- 75 Коллекции
- 76 По автору
- 77 — информационная сводка о
- 78 Библиотеку
- 79 Добавить новую онлайн-библиотеку; В появившемся окне укажите веб-адрес ката-; Скачать книгу; Войдите в одну из установленных онлайн-би-
- 80 Выберете внизу страницы формат, в котором; Скачать; По умолчанию книги загружаются в папку
- 81 в правом верхнем углу экрана и выберете; PocketBook Cloud
- 82 Регистрация; PocketBook
- 83 Нет учетной записи? Создайте ее прямо; ты и синхронизация > PocketBook Cloud; Процесс синхронизации; входите в свою учетную запись PocketBook
- 84 добавляете или удаляете книгу из Коллекции,
- 85 Операции с файлами
- 86 Удаление книг
- 87 Настройки
- 88 SSID; АККАУНТЫ И СИНХРОНИЗАЦИЯ; Учетная запись магазина; — доступны следующие настройки:
- 92 ПЕРСОНАЛИЗАЦИЯ
- 93 По умолчанию
- 94 — изображение, которое
- 95 LED индикация; вы можете включить или отключить; При включении открывать; последнюю открытую; Профили пользователей.; Вы можете сконфигури-
- 97 Раскладки клавиатуры; раскладок клавиатуры.; ЭКОНОМИЯ БАТАРЕИ
- 98 Блокировка устройства через; ОБСЛУЖИВАНИЕ; Защита настроек паролем
- 99 Диагностика и использование —; Форматирование встроенной памяти
- 100 Сброс настроек; — состояние Устройства будет воз-; Деморежим; Включено; Калибровка экрана
- 101 ПРОГРАММНОЕ ОБЕСПЕЧЕНИЕ; Версия ПО; ИНФОРМАЦИЯ ОБ УСТРОЙСТВЕ
- 102 Модель устройства
- 103 Обновление ПО; Автоматическое обновление; ное обеспечение > Обновление ПО
- 104 Обновление вручную; Поддержка
- 105 Вперед; «Firmware update... »; Возможные ошибки и методы их устранения
- 108 Возможные неполадки и их устранение
- 110 Сервисное обслуживание; следующих источников:
- 111 Сертификационная информация; : PocketBook Touch HD 3
Характеристики
Остались вопросы?Не нашли свой ответ в руководстве или возникли другие проблемы? Задайте свой вопрос в форме ниже с подробным описанием вашей ситуации, чтобы другие люди и специалисты смогли дать на него ответ. Если вы знаете как решить проблему другого человека, пожалуйста, подскажите ему :)