Электронные книги PocketBook 740 InkPad 3 Pro - инструкция пользователя по применению, эксплуатации и установке на русском языке. Мы надеемся, она поможет вам решить возникшие у вас вопросы при эксплуатации техники.
Если остались вопросы, задайте их в комментариях после инструкции.
"Загружаем инструкцию", означает, что нужно подождать пока файл загрузится и можно будет его читать онлайн. Некоторые инструкции очень большие и время их появления зависит от вашей скорости интернета.

Настройки
86
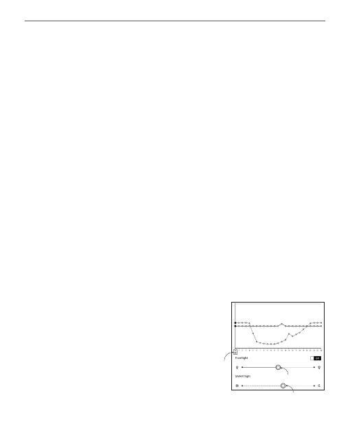
Расширенные настройки подсветки
– вы можете
создать собственные конфигурации настроек и
управлять ими.
•
Новые настройки
– позволяет создавать ваши
персональные настройки автоматической регулировки
Подсветки
.
•
По умолчанию
– заводские настройки
автоматической регулировки
Подсветки
.
В этом же разделе будут отображаться ваши
персональные настройки по мере их создания.
При создании новой конфигурации настроек на экране
будет показываться график, на котором вы сможете
устанавливать яркость
Подсветки
и ее световую
температуру
SMARTlight
. Для определения параметра
установите курсор (Сн.1) на нужное
время на графике и, перемещая
ползунки под графиком (Сн.2,3),
определите комфортную яркость и
температуру для каждого часа.
1
2
3
Содержание
- 6 Меры предосторожности; Условия хранения, транспортировки и использования
- 7 Обслуживание
- 9 Радиочастотная безопасность
- 10 Утилизация; Устройство, или авторизированный сервисный центр.
- 12 Внешний вид; Домой; Подсветка экрана
- 13 Технические характеристики
- 14 Приступая к работе; В этом разделе Вы узнаете о том, как подготовить; ЗАРЯДКА АККУМУЛЯТОРА; часов
- 15 USB
- 16 УПРАВЛЕНИЕ УСТРОЙСТВОМ
- 17 ВНЕШНИЙ ВИД ГЛАВНОГО МЕНЮ
- 18 светка экрана
- 19 ЖЕСТЫ УПРАВЛЕНИЯ; Нажатие
- 20 Прокручивание; Экранная клавиатура появляется при необходимости
- 21 Сменить регистр текста; ПОДСВЕТКА ЭКРАНА; Для вызова меню управления «Подсветка экрана» не-
- 22 Общее управление подсветкой.; ключателя; По умолчанию эта функция находится в; ON; ) ползунок на экране становится
- 23 НАСТРОЙКА СОЕДИНЕНИЯ WI-FI
- 24 Расширенные настройки; ступ к сети; Чтобы подключиться к скрытой сети:
- 25 Подключение к скрытой сети
- 26 Приложения; В на главный экран вынесено три приложения:
- 27 БИБЛИОТЕКА; Библиотеки; МАГАЗИН; Приложение
- 28 Введите данные своей учетной записи на; Выход
- 29 BookLand
- 30 БРАУЗЕР; Для ввода адреса веб-страницы коснитесь адресной
- 31 Настройках; СТАНДАРТНЫЕ
- 32 Scribble
- 33 My Pictures; Галерея; JPEG; в папку
- 34 ИГРЫ; Классический пасьянс.; Судоку; Чтобы записать цифру в клетку игрового
- 36 Шахматы; RSS; Настройка
- 37 Добавить; Удалить; hrss
- 38 ние новости; Dropbox PocketBook; Dropbox; С чего начать; DropBox
- 39 Как синхронизировать; Приложения > Dropbox
- 40 Книги по email
- 42 В открывшемся окне регистрации введите кон-; Как получить файлы на Устройство; Файлы, отправленные на электронный адрес
- 43 ги по email > Перейти к папке
- 44 Список доверенных отправителей
- 45 Чтение книг; Последних
- 46 ЗОНЫ КАСАНИЙ ПРИ ЧТЕНИИ; Листание страниц
- 47 МЕНЮ ЧТЕНИЯ
- 48 Вы можете управлять яркостью; Подсветки; ровать световую температуру; с помощью; SMARTlight
- 49 СОЦИАЛЬНЫЕ СЕТИ И READRATE; Теперь Вы сможете прямо на Вашем
- 50 Статус чтения, рекомендация и оценка книги; Нажмите одну из опций (
- 52 Сейчас читаю, Прочитано; Рекомендовать; мендация и оценка книги; Рекомендовать
- 53 Поделиться цитатой; Поделиться
- 55 СОДЕРЖАНИЕ; Раздел содержания состоит из трех вкладок:
- 56 отредактировать заметку и удалять заметки и закладки.; ЗАКЛАДКИ
- 57 СЛОВАРЬ; Словарь; ЗАМЕТКИ; Заметка
- 58 Заметки; НАСТРОЙКИ ЧТЕНИЯ
- 59 Чтобы произвести настройки для книг форматов; Вкладка
- 60 Встроенная нумерация страниц; PDF и DjVU; ки
- 61 PDF
- 62 Обрезка полей
- 63 ПЕРЕХОД ПО ССЫЛКАМ; ЗАГРУЗКА ФАЙЛОВ В ПАМЯТЬ УСТРОЙСТВА; Присоедините Устройство с помощью
- 64 Загрузка защищенных электронных книг (Adobe DRM); Sign in > Create an Adobe Account
- 65 Продукты > Все продукты
- 66 Найдите и откройте этот файл на Устройстве.; Загрузка книги через ПК; Откройте приложение Adobe Digital Editions.
- 67 Выберите иконку; Вариант 1; Откройте раздел
- 68 PocketBook Cloud, Книги по email; Вариант 2; Библиотека
- 69 . Если все процессы синхронизации завер-
- 70 Коллекции
- 71 Эскизный
- 72 — информационная сводка о
- 73 Библиотеку; Добавить новую онлайн-библиотеку; В появившемся окне укажите веб-адрес ката-; ОК
- 74 Скачать книгу; Downloads
- 75 PocketBook Cloud; Регистрация; Вы можете зарегистрироваться в сервисе
- 77 Затем вернитесь в меню; Процесс синхронизации; входите в свою учетную запись PocketBook
- 78 Операции с файлами
- 79 грузить в PB Cloud
- 80 Настройки
- 81 SSID; АККАУНТЫ И СИНХРОНИЗАЦИЯ
- 82 Получать файлы автоматически
- 84 Социальные сети; Adobe DRM; Учетной
- 85 Синхронизация; ПЕРСОНАЛИЗАЦИЯ; Подсветка
- 86 Расширенные настройки подсветки; По умолчанию
- 87 — изображение, которое
- 88 LED индикация; ePub; Профили пользователей.
- 89 Раскладки клавиатуры
- 90 Конфигурация словарей.; Синхронизировать время; ЭКОНОМИЯ БАТАРЕИ
- 91 Блокировка устройства через; ОБСЛУЖИВАНИЕ; Восстановление конфигурации; Конфиденциальность; Защита настроек паролем
- 92 Установить пароль; Форматирование встроенной памяти
- 93 Сброс настроек; Включено; ПРОГРАММНОЕ ОБЕСПЕЧЕНИЕ; Версия ПО
- 94 Приложение сторонних разработчиков; ИНФОРМАЦИЯ ОБ УСТРОЙСТВЕ; Модель устройства
- 95 Обновление ПО; Для обновления программного обеспечения устрой-; Автоматическое обновление; ное обеспечение > Обновление ПО
- 96 Обновление вручную; Поддержка
- 97 Вперед; Firmware update...; Возможные ошибки и методы их устранения
- 99 Возможные неполадки и их устранение
- 101 Сервисное обслуживание; следующих источников:
- 102 Сертификационная информация; : PocketBook InkPad 3 Pro




