Электронные книги PocketBook 628 - инструкция пользователя по применению, эксплуатации и установке на русском языке. Мы надеемся, она поможет вам решить возникшие у вас вопросы при эксплуатации техники.
Если остались вопросы, задайте их в комментариях после инструкции.
"Загружаем инструкцию", означает, что нужно подождать пока файл загрузится и можно будет его читать онлайн. Некоторые инструкции очень большие и время их появления зависит от вашей скорости интернета.

Настройки
89
1
2
3
Расширенные настройки подсветки
– вы можете
создать собственные конфигурации настроек и
управлять ими.
•
Новые настройки
– позволяет создавать ваши
персональные настройки автоматической регулировки
Подсветки
.
•
По умолчанию
– заводские настройки
автоматической регулировки
Подсветки
.
В этом же разделе будут отображаться ваши
персональные настройки по мере их создания.
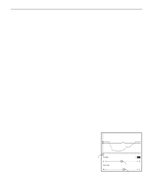
При создании новой конфигурации настроек на экране
будет показываться график, на котором вы сможете
устанавливать яркость
Подсветки
и ее световую
температуру
SMARTlight
. Для определения параметра
установите курсор (Сн.1) на нужное
время на графике и, перемещая
ползунки под графиком (Сн.2,3),
определите комфортную яркость и
температуру для каждого часа.




