Электронные книги DEXP S3 Symbol - инструкция пользователя по применению, эксплуатации и установке на русском языке. Мы надеемся, она поможет вам решить возникшие у вас вопросы при эксплуатации техники.
Если остались вопросы, задайте их в комментариях после инструкции.
"Загружаем инструкцию", означает, что нужно подождать пока файл загрузится и можно будет его читать онлайн. Некоторые инструкции очень большие и время их появления зависит от вашей скорости интернета.

Электронная книга DEXP
L3 Moon, S3 Symbol
Уважаемый покупатель!
Благодарим Вас за выбор продукции, выпускаемой под торговой маркой «
DEXP».
Мы рады предложить Вам изделия, разработанные и изготовленные в соответствии с высокими
требованиями к качеству, функциональности и дизайну. Перед началом эксплуатации прибора
внимательно прочитайте данное руководство, в котором содержится важная информация, касающаяся
Вашей безопасности, а также рекомендации по правильному использованию прибора и уходу за ним.
Позаботьтесь о сохранности настоящего Руководства, используйте его в качестве справочного
материала при дальнейшем использовании прибора.
Электронная книга предназначена
для отображения текстовой информации, представленной
в электронном виде
.
Рекомендации по использованию литий содержащей аккумуляторной
батареи (Li-pol/Li-ion)
Уважаемый пользователь! Обращаем Ваше внимание, что приобретённое Вами устройство
использует в своём составе аккумулятор на основе лития в качестве источника питания.
Пожалуйста, внимательно ознакомьтесь с нижеуказанной информацией. Она поможет Вам
продлить срок службы Вашего аккумулятора и предотвратить нежелательные последствия при
его эксплуатации.
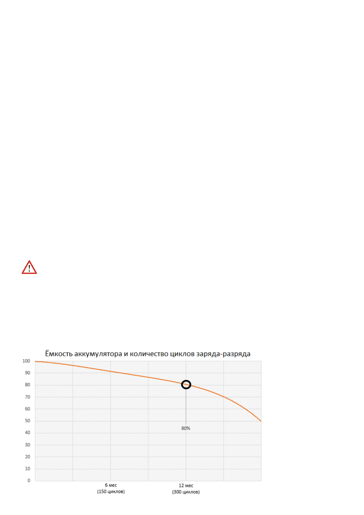
Естественный
износ АКБ
При длительном хранении и использовании устройства
аккумулятор (далее по тексту
–
«АКБ») имеет
свойство терять заряд и ёмкость. В период использования устройства
можно ожидать, что после 300
циклов заряда
-
разряда (примерно год использования устройства), ёмкость АКБ может снизиться до
80 % от номинальной. Ёмкость АКБ после 400 заряд
-
разрядных циклов может снизиться до 60 % от
номинальной ёмкости.
Частичное снижение ёмкости в указанных пределах и временных периодах
-
это естественный износ
АКБ, который не является дефектом.