Страница 2 - ПОДДЕРЖКА ПОТРЕБИТЕЛЕЙ И СЕРВИСНОЕ
СОДЕРЖАНИЕ 1. СВЕДЕНИЯ ПО ТЕХНИКЕ БЕЗОПАСНОСТИ.................................................3 2. УКАЗАНИЯ ПО БЕЗОПАСНОСТИ................................................................... 5 3. ОПИСАНИЕ ИЗДЕЛИЯ..................................................................................... 6...
Страница 3 - возможностями; Общие правила техники безопасности
1. СВЕДЕНИЯ ПО ТЕХНИКЕ БЕЗОПАСНОСТИ Перед установкой и эксплуатацией прибора внимательно ознакомьтесь с приложенным руководством. Производитель не несет ответственности за какие-либо травмы или ущерб, возникший вследствие неправильной установки или эксплуатации. Всегда храните данное руководство под...
Страница 5 - УКАЗАНИЯ ПО БЕЗОПАСНОСТИ; электросети
2. УКАЗАНИЯ ПО БЕЗОПАСНОСТИ 2.1 Установка ВНИМАНИЕ! Установка прибора должна осуществляться только квалифицированным персоналом! • Удалите всю упаковку. • Не устанавливайте и не подключайте прибор, имеющий повреждения. • Не устанавливайте и не эксплуатируйте прибор в помещениях с температурой ниже 0...
Страница 9 - Показатели потребления; тестирующих организаций; Режим выбора программы; и пользовательский режим
5.1 Показатели потребления Программа 1) Вода (л) Энергопотребле‐ ние (кВт·ч) Продолж. (мин) 9.9 0.777 245 6 - 12 0.5 - 1.2 40 - 150 11 - 13 1.0 - 1.2 130 - 150 8 0.6 - 0.8 30 10 - 12 0.8 - 0.9 60 - 80 4 0.1 14 1) Указанные показатели могут изменяться в зависимости от давления и температуры воды, нап...
Страница 10 - Смягчитель для воды
Переход в пользовательский режим Убедитесь, что прибор находится в режиме выбора программы.Для входа в пользовательский режим одновременно нажмите и удерживайте Delay и Start, пока индикаторы , и не начнут мигать, а дисплей не погаснет. 6.2 Смягчитель для воды Смягчитель для воды удаляет из подаваем...
Страница 11 - дозатор ополаскивателя пуст
Настройка смягчителя для воды Убедитесь, что прибор находится в пользовательском режиме.1. Нажмите на Program. • Индикаторы и погаснут. • Индикатор продолжит мигать. • На дисплее отобразится текущая настройка: напр., = уровень 5. 2. Для изменения установки нажмите на Program нужное количество раз. 3...
Страница 12 - Выключение AirDry; Включение XtraDry
ПРЕДУПРЕЖДЕНИЕ Не пытайтесь закрыть дверцу прибора в течение 2 минут после ее автоматического открывания. Это может привести к повреждению прибора. AirDry включается автоматически со всеми программами за исключениемпрограммы . Для повышения эффективности сушки см. описание опции XtraDry или включите...
Страница 13 - ПЕРЕД ПЕРВЫМ ИСПОЛЬЗОВАНИЕМ
загорится или быстро замигает на несколько секунд, а затем погаснет. На дисплее отобразится обновленное значение продолжительности программы. 7.2 TimeManager Данный режим увеличивает давление и температуру воды. Этапы мойки и сушки сокращаются.Общая продолжительность программы сокращается примерно н...
Страница 14 - Заполнение дозатора; ополаскивателя
Соль используется для «зарядки» ионообменной смолы в смягчителе для воды и обеспечения хороших результатов мытья в ходе ежедневного использования. Наполнение емкости для соли 1. Поверните крышку емкости для соли против часовой стрелки и снимите ее. 2. Налейте 1 л воды в емкость для соли (только пере...
Страница 15 - ЕЖЕДНЕВНОЕ ИСПОЛЬЗОВАНИЕ; Использование моющего; средства; Настройка и запуск; программы
Селектор количества выдаваемого ополаскивателя (B) позволяет выбрать значения от 1 (минимальное количество) до 4 или 6 (максимальное количество). 9. ЕЖЕДНЕВНОЕ ИСПОЛЬЗОВАНИЕ 1. Откройте вентиль подачи воды. 2. Включите прибор нажатием на кнопку «Вкл/Выкл». Убедитесь, что прибор находится в режиме вы...
Страница 18 - Разгрузка корзин
10.3 Что делать, если необходимо прекратить использовать таблетированное моющее средство Прежде чем перейти к использованию моющего средства, соли и ополаскивателя по отдельности выполните следующую процедуру.1. Установите максимальный уровень смягчителя для воды. 2. Убедитесь, что емкость для соли ...
Страница 19 - Очистка фильтров
11. УХОД И ОЧИСТКА ВНИМАНИЕ! Перед выполнением операций по чистке и уходу выключите прибор и извлеките вилку сетевого шнура из розетки. Грязные фильтры засоренность разбрызгивателей приводит к ухудшению качества мойки. Периодически проверяйте состояние фильтров и, при необходимости, проводите их очи...
Страница 20 - разбрызгивателей; Очистка наружных; поверхностей; Чистка внутренних; частей; ПОИСК И УСТРАНЕНИЕ НЕИСПРАВНОСТЕЙ
7. Соберите фильтры (B) и (C). 8. Установите фильтр (B) обратно в плоский фильтр (A). Поверните по часовой стрелке до щелчка. ПРЕДУПРЕЖДЕНИЕ Неверная установка фильтров может привести к неудовлетворительным результатам мойки и повреждению прибора. 11.2 Чистка разбрызгивателей Не снимайте разбрызгива...
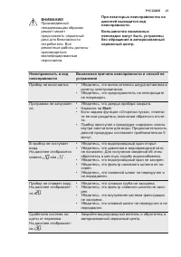
Страница 23 - Результаты мойки и сушки неудовлетворительны
Другие возможные причины приведены в Главах «Перед первым использованием», «Ежедневное использование» и «Указания и рекомендации». Проверив прибор, выключите и включите прибор. Если неисправность появится снова, обратитесь в авторизованный сервисный центр.Если коды неисправности не описаны в таблице...
Страница 25 - ТЕХНИЧЕСКИЕ ДАННЫЕ
Неисправность Возможная причина неисправности и способ ее устранения На столовых приборах, внутренней камере и внут‐ ренней стороне дверцы имеется известковый на‐ лет. • Низкий уровень соли; проверьте индикатор на‐ личия соли. • Крышка емкости для соли закрыта неплотно. • Водопроводная вода имеет вы...
Страница 26 - ОХРАНА ОКРУЖАЮЩЕЙ СРЕДЫ
Потребляемая мощность При оставлении во вклю‐ ченном состоянии (Вт) 5.0 Потребляемая мощность В отключенном состоя‐ нии (Вт) 0.10 1) Другие значения приведены в табличке с техническими данными. 2) Если горячая вода подается из системы, использующей альтернативный источник энергии (например, солнечны...