Страница 2 - Примечания, предупреждения и предостережения; ПРИМЕЧАНИЕ: «ПРИМЕЧАНИЕ» указывает на важную информацию,
Примечания, предупреждения и предостережения ПРИМЕЧАНИЕ: «ПРИМЕЧАНИЕ» указывает на важную информацию, которая поможет лучше использовать компьютер.ВНИМАНИЕ! «ПРЕДУПРЕЖДЕНИЕ» указывает на потенциальную угрозу для аппаратного обеспечения или угрозу утраты данных, если не следовать инструкциям.ПРЕДОСТЕ...
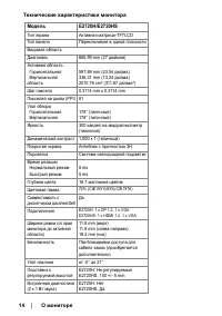
Страница 3 - Содержание; Содержание; Качество жидкокристаллического монитора
Содержание │ 3 Содержание Содержание О мониторе ............................................................... 5 Содержимое упаковки ....................................................... 5 Свойства изделия .............................................................. 6 Определение свойств и элем...
Страница 4 - Уведомление Федеральной комиссии по
4 │ Содержание Поиск и устранение неисправностей ................. 70 Самотестирование ........................................................... 70 Встроенная диагностика ................................................. 72 Распространенные проблемы ....................................... 73 Пробл...
Страница 5 - Монитор; О мониторе; Содержимое упаковки; Связь с Dell; ПРИМЕЧАНИЕ: Некоторые предметы могут быть дополнительными и не
О мониторе │ 5 a Изображение компонента b c a c b Описание компонента Монитор Механизм подъема подставки a. E1920H/E2020H b. E2220H/E2420H/E2720H c. E2420HS/E2720HS Основание подставки a. E1920H/E2020H/E2220H/E2420H b. E2720H c. E2420HS/E2720HS VESA™ Screw Cover Кабель питания (различается в разных ...
Страница 6 - Свойства изделия
6 │ О мониторе Кабель VGA (регион Европа, Ближний Восток, Африка, а также Япония) Кабель DP (E1920H/E2020H/E2220H/ E2420H и E2720H) Кабель HDMI (E2420HS и E2720HS) • Руководство по быстрой установке • Безопасность, экологическая и нормативная информация Свойства изделия Монитор с плоской панелью Del...
Страница 7 - Определение свойств и элементов управления; Вид спереди; ровка; Использование
О мониторе │ 7 ● Возможность автоматической настройки, если поддерживается компьютером. ● Регулировка экранного дисплея (OSD) для легкости первоначальной настройки и оптимизации экрана. ● Мощность в режиме ожидания 0.3 W при нахождении устройства в режиме сна. ● Оптимизация удобства для глаз благода...
Страница 8 - Вид сзади
8 │ О мониторе 4 5 1 2 3 Вид сзади Без подставки для монитора С подставкой для монитора Вид сбоку Марки- ровка Описание Использование 1 Паз блокировки доступа Для внедрения в мониторе блокировки доступа (приобретается отдельно). 2 Штрих-код, серийный номер и ярлык с сервисным кодом См. этот ярлык, е...
Страница 9 - Использование элементов
О мониторе │ 9 4 Без подставки для монитора С подставкой для монитора 5 Определение свойств и элементов управления Вид спереди E2420HS/E2720HS Вид сзади 1 2 3 1 2 Марки- ровка Описание Использование 1 Функциональные кнопки Для доступа к меню OSD и изменения настроек при необходимости. (Подробнее см....
Страница 10 - Вид сбоку
10 │ О мониторе Вид сбоку Марки- ровка Описание Использование 1 Паз блокировки доступа Для внедрения в мониторе блокировки доступа (приобретается отдельно). 2 Штрих-код, серийный номер, и ярлык с сервисным кодом См. этот ярлык, если необходимо обратиться в компанию Dell за техническим обслуживанием....
Страница 11 - Вид снизу без подставки монитора
О мониторе │ 11 1 3 1 4 2 3 4 2 E2420HS/E2720HS Вид снизу без подставки монитора E1920H/E2020H/E2220H/E2420H/E2720H Марки- ровка Описание Использование 1 Порт питания Для подключения шнура питания монитора. 2 Порт DP Для подключения к компьютеру при помощи кабеля DP. 3 Порт VGA Для подключения к ком...
Страница 24 - Режимы управления питанием; Режимом энергосбережения
24 │ О мониторе Режимы управления питанием Если у вас есть видео адаптер, соответствующий DPM™ VESА или на компьютере установлено соответствующее программное обеспечение, монитор может автоматически снижать энергопотребление, когда не используется. Это называется « Режимом энергосбережения ». Если к...
Страница 28 - Возможность автоматической настройки; Эксплуатация монитора; Качество жидкокристаллического монитора и политика; Очистка монитора; Инструкция; цвета могут образовываться царапины.
28 │ О мониторе Возможность автоматической настройки Можно установить монитор в любой системе, совместимой с Plug and Play (автоматической настройкой). Монитор автоматически предоставляет компьютеру расширенные данные идентификации дисплея (EDID) посредством протоколов канала данных дисплея, чтобы с...
Страница 29 - Первоначальная настройка монитора; Установка подставки; ПРИМЕЧАНИЕ: Подставка не установлена, когда монитор отгружается; основание подставки до щелчка.
Первоначальная настройка монитора │ 29 Первоначальная настройка монитора Установка подставки ПРИМЕЧАНИЕ: Подставка не установлена, когда монитор отгружается с завода. ПРИМЕЧАНИЕ: Следующая процедура касается подставок, которые по- ставляются вместе с монитором. Чтобы прикрепить подставку монитора: E...
Страница 32 - Присоедините подставку в сборке к монитору:
32 │ Первоначальная настройка монитора Первоначальная настройка монитора Установка подставки ПРИМЕЧАНИЕ: Подставка не установлена, когда монитор отгружается с завода.ПРИМЕЧАНИЕ: Следующая процедура касается подставок, которые поставляются вместе с монитором. Чтобы прикрепить подставку монитора: E272...
Страница 33 - Прикрепите крышку VESA
Первоначальная настройка монитора │ 33 Первоначальная настройка монитора Установка подставки ПРИМЕЧАНИЕ: Подставка не установлена, когда монитор отгружается с завода.ПРИМЕЧАНИЕ: Следующая процедура касается подставок, которые поставляются вместе с монитором. Чтобы прикрепить подставку монитора: E242...
Страница 34 - Подключение монитора; ПРЕДОСТЕРЕЖЕНИЕ! Следуйте; Чтобы подключить монитор к компьютеру:; Подключение кабеля DP / VGA
34 │ Первоначальная настройка монитора Подключение монитора ПРЕДОСТЕРЕЖЕНИЕ! Следуйте Инструкция по безопасности до начала каких-либо процедур в этом разделе.ПРИМЕЧАНИЕ: Не подключайте все кабеля к компьютеру одновременно. Рекомендуется пропустить кабеля через паз кабельной разводки перед подключени...
Страница 35 - Организация кабелей; расположенную в отверстии над стойкой.; Снятие подставки; ПРИМЕЧАНИЕ: Во избежание появления царапин на экране при снятии; a. Положите монитор на мягкую ткань около края стола.
Первоначальная настройка монитора │ 35 Организация кабелей Использование паза кабельной разводки для направления кабелей к монитору. 2. a. Используйте длинную и тонкую отвертку, чтобы протолкнуть защелку, расположенную в отверстии над стойкой. b. Как только защелка отпущена, отодвиньте основание от ...
Страница 40 - совместимому монтажному комплекту основания.
40 │ Первоначальная настройка монитора Настенный монтаж (опционально) (Размеры подставки: M4 x 10 мм). См. Инструкции, прилагаемые к VESA- совместимому монтажному комплекту основания. 1. Положите панель монитора на мягкую ткань или подушку на устойчивый плоский стол. 2. Снимите подставку. 3. Использ...
Страница 41 - Доступ к меню OSD; Включение монитора
Эксплуатация монитора │ 41 1 2 3 4 5 Кнопки управления 1 Предустановленный режим 2 Яркость/контрастность 3 Меню Описание Используйте эту кнопку для выбора из списка предустановленных режимов. Для прямого доступа к меню яркости/кон- трастности. Чтобы запустить экранное меню дисплея (OSD) или получить...
Страница 43 - Элементы управления OSD
3 Меню Чтобы запустить экранное меню дисплея (OSD) или получить доступ к списку элементов/ параметров элемента меню. Подробнее см. в разделе Доступ к меню OSD . 4 Выход Чтобы выйти и возвратиться к главному меню OSD. 5 Кнопка питания (с индикатором состояния питания) Для включения или выключения мон...
Страница 44 - Использование экранного меню дисплея (OSD); ПРИМЕЧАНИЕ: Какие-либо сделанные изменения автоматически
44 │ Эксплуатация монитора 75% 75% 75% 75% Использование экранного меню дисплея (OSD) Доступ к меню OSD ПРИМЕЧАНИЕ: Какие-либо сделанные изменения автоматически сохраняются при перемещении к другому меню, выходе из меню OSD или ожидании, когда меню OSD закроется автоматически. 1. Нажмите кнопку, что...
Страница 45 - Используйте этот параметр для управления настройками; Яркость
Эксплуатация монитора │ 45 Пикто- грамма Меню и подменюЯркость/ контрастность Описание Используйте этот параметр для управления настройками яркости и контрастности. Яркость Контрастность E2X20HS EXX20H Яркость изменяет яркость подсветки.Нажмите кнопку , чтобы повысить яркость, нажмите эту кнопку, чт...
Страница 46 - Автоматическая; Описание
46 │ Эксплуатация монитора Пикто- грамма Меню и подменю Автоматическая регулировка Описание При помощи этого параметра активируйте автоматическую настройку и регулируйте меню. EXX20H E2X20HS Следующее диалоговое окно появляется на черном экране, когда монитор выполняет самостоятельную регулировку с ...
Страница 47 - При помощи меню источника входящего сигнала; входящего сигнала по умолчанию.; грамма
Эксплуатация монитора │ 47 Источник входящего сигнала VGA DP HDMI При помощи меню источника входящего сигнала переключайтесь между разными сигналами видео, которые могут быть подключены к монитору. E1920H/E2220H: один ввод VGA и один ввод DP VGA DP Авто Выбор Сброс источника входящего сигнала VGA HD...
Страница 48 - Цвет; Используйте цвет для регулировки режима настройки цвета.
48 │ Эксплуатация монитора Цвет Используйте цвет для регулировки режима настройки цвета. EXX20H E2X20HS Предустановленные режимы Цветовой формат ввода Сбросить цвет Предустановленные режимы Цветовой формат ввода Сбросить цвет Стандарт RGB Стандарт RGB Монитор ХХ Dell Яркость/контрастность Автоматиче...
Страница 49 - новленные
Эксплуатация монитора │ 49 Предуста- новленные режимы EXX20H Предустановленные режимы Цветовой формат ввода Сбросить цвет Стандарт Комфортабельность Теплый Прохладный Пользовательский цвет Монитор ХХ Dell Яркость/контрастность Автоматическая регулировка Источник входящего сигнала Цвет Дисплей Меню П...
Страница 50 - Цветовой; Позволяет установить режим входящего видео:
50 │ Эксплуатация монитора Цветовой формат ввода Предустановленные режимы Цветовой формат ввода Сбросить цвет Позволяет установить режим входящего видео: RGB: Выберите этот параметр, если монитор подключен к компьютеру или DVD плееру посредством кабеля DP или HDMI. YPbPr: Выберите этот параметр, есл...
Страница 51 - Сбросить; Сброс настроек цвета монитора до заводских настроек.
Эксплуатация монитора │ 51 Сбросить цветДисплей Сброс настроек цвета монитора до заводских настроек. Используйте дисплей для регулировки изображения. EXX20H E2420H/E2720H E2420H/E2720H Форматное соотношение Горизонтальное положение Вертикальное положение Сметливость Пиксельные часы Фаза Сбросить дис...
Страница 53 - громкоговорителя. Выберите этот параметр, чтобы
Аудио Объем Оратор E2X20HS Объем 50 Оратор Сбросить аудио Включить При помощи кнопок регулируйте громкость. Минимум «0» (-). Максимум «100» (+) Сброс аудио громкоговорителя. Выберите этот параметр, чтобы восстановить настройки дисплея по умолчанию. Позволяет включить или выключить функцию Монитор 2X...
Страница 54 - Меню; Прозрачность; Таймер
Монитор 2X Dell Яркость/контрастность Автоматическая регулировка Источник входящего сигнала Цвет Дисплей Аудио Меню Персонализировать Прочее Пикто- грамма Меню и подменю Описание 54 │ Эксплуатация монитора Меню Язык Выберите этот параметр, чтобы регулировать настройки OSD, такие как язык OSD, время,...
Страница 55 - Блокировка; в течении; Сброс меню; Выберите эту опцию, чтобы восстановить настройки меню по
Пикто- грамма Меню и подменю Описание Эксплуатация монитора │ 55 Блокировка Контролирует доступ пользователя к регулировке. Когда выбрана блокировка, пользовательские регулировки не разрешаются. Заблокированы все клавиши, за исключением клавиши . Чтобы разблокировать, используйте один из следующих п...
Страница 57 - Нажмите, чтобы отобразилась информация о дисплее.; регулировать настройки монитора посредством программного; Информация
Пикто- грамма Меню и подменю Описание Эксплуатация монитора │ 57 DDC/CI Нажмите, чтобы отобразилась информация о дисплее. EXX20H Информация о дисплее DDC/CI Регулировка LCD Метка обслуживания Сбросить другие настройки Сброс к заводским настройкам Модель: Dell EXX20H Источник входящего сигнала: VGA Т...
Страница 58 - Подготовка
Пикто- грамма Меню и подменю Описание 58 │ Эксплуатация монитора Подготовка ЖК Информация о дисплее DDC/CI Регулировка LCD Метка обслуживания Сбросить другие настройки Сброс к заводским настройкам Вкл. Выкл. Позволяет снизить вероятность редких случаев остаточного изображения на экране. В зависимост...
Страница 60 - До отключения функции DDC/CI отображается следующее сообщение.
60 │ Эксплуатация монитора EXX20H E2X20HS ENERGY STAR ® ENERGY STAR ® Монитор ХХ Dell Функция настройки дисплея с помощью приложения для ПК будет отключена.Вы хотите отключить функцию DDC / CI? Нет Да EXX20H До отключения функции DDC/CI отображается следующее сообщение. EXX20H Монитор ХХ Dell Яркост...
Страница 62 - Поиск и устранение неисправностей
62 │ Эксплуатация монитора Монитор ХХ Dell ? Без кабеля DP Дисплей перейдет в режим энергосбережения через 4 минуты. www.dell.com/EXX20H EXX20H Монитор 2X Dell ? Без кабеля HDMI Дисплей перейдет в режим энергосбережения через 4 минуты. www.dell.com/E2X20HS E2X20HS Если кабель VGA, DP или HDMI не под...
Страница 63 - Компьютер Dell
Эксплуатация монитора │ 63 Первоначальная настройка монитора E1920H Установка разрешения дисплея 1366 x 768 Для достижения лучшей производительности установите разрешение дисплея 1366 x 768 пикселей посредством следующих этапов: В Windows 7: 1. Правой кнопкой мыши щелкните по рабочему столу, затем щ...
Страница 64 - Не компьютер Dell; ПРИМЕЧАНИЕ: Если не получается установить рекомендуемое
64 │ Эксплуатация монитора Не компьютер Dell В Windows 7: 1. Правой кнопкой мыши щелкните по рабочему столу, затем щелкните «Персонализация» . 2. Щелкните «Изменить настройки дисплея» . 3. Щелкните «Расширенные настройки» . 4. Определите своего поставщика графического контроллера, исходя из описания...
Страница 65 - Компьютер De
Эксплуатация монитора │ 65 Первоначальная настройка монитора E2020H Установка разрешения дисплея 1600 x 900 Для достижения лучшей производительности установите разрешение дисплея 1600 x 900 пикселей посредством следующих этапов: В Windows 7: 1. Правой кнопкой мыши щелкните по рабочему столу, затем щ...
Страница 69 - Использование регулировки высоты; Вы можете наклонить монитор, чтобы достигнуть наиболее; Модель H; Вы можете настроить высоту монитора для наиболее удобного; HS model
Эксплуатация монитора │ 69 Использование регулировки высоты Использование наклона Вы можете наклонить монитор, чтобы достигнуть наиболее комфортного угла просмотра. ПРИМЕЧАНИЕ: Подставка не установлена, когда монитор отгружается с завода. Модель H 5 ° 21 ° Модель HS 5 ° 21 ° Вы можете настроить высо...
Страница 70 - Следуйте; Самотестирование; Включите компьютер и монитор.
70 │ Поиск и устранение неисправностей Монитор 19 Dell ? Без кабеля DP Дисплей перейдет в режим энергосбережения через 4 минуты. www.dell.com/E1920H Монитор 20 Dell ? Без кабеля DP Дисплей перейдет в режим энергосбережения через 4 минуты. www.dell.com/E2020H E1920H E2020H Монитор 22 Dell ? Без кабел...
Страница 71 - ПРИМЕЧАНИЕ: Это окно также появляется при нормальной; контроллер и компьютер.
Поиск и устранение неисправностей │ 71 Монитор 24 Dell ? Без кабеля DP Дисплей перейдет в режим энергосбережения через 4 минуты. www.dell.com/E2420H Монитор 24 Dell ? Без кабеля HDMI Дисплей перейдет в режим энергосбережения через 4 минуты. www.dell.com/E2420HS Монитор 27 Dell ? Без кабеля DP Диспле...
Страница 72 - Встроенная диагностика; В мониторе есть встроенный инструмент диагностики, помогающий; Чтобы выполнить встроенную диагностику:
72 │ Поиск и устранение неисправностей Встроенная диагностика В мониторе есть встроенный инструмент диагностики, помогающий определить, является ли какая-либо аномалия экрана проблемой монитора, компьютера или видео адаптера. 4 3 2 1 Чтобы выполнить встроенную диагностику: 1. Убедитесь в том, что эк...
Страница 73 - Распространенные проблемы; Обычные симптомы; Источник входящего сигнала
Поиск и устранение неисправностей │ 73 Распространенные проблемы В следующей таблице содержится общая информация о распространенных проблемах монитора, с которыми вы можете столкнуться, и возможных решениях: Обычные симптомы Возможные решения Нет видео/не светится светодиодный индикатор питания ● Уб...
Страница 75 - Проблемы, характерные для изделия; Конкретные симптомы; Сброс до
Поиск и устранение неисправностей │ 75 Проблемы, характерные для изделия Конкретные симптомы Возможные решения Экранное изображение слишком маленькое ● Проверьте форматное соотношение в «Настройкахдисплея» OSD. ● Сбросьте монитор до заводских настроек ( Сброс до заводских настроек ) Невозможно отрег...
Страница 76 - Приложение; Инструкция по безопасности; Чтобы получить информацию о поддержке монитора в режиме онлайн:
76 │ Приложение Приложение Инструкция по безопасности ПРЕДОСТЕРЕЖЕНИЕ! Использование элементов управления, регулировок или процедур помимо тех, которые описаны в этой документации, может привести к удару, поражению электрическим током и/или механическим рискам. Информацию об инструкции по технике бе...
Страница 77 - Назначение контактов; Номер контакта Назначение сигнала
Приложение │ 77 Назначение контактов 15-контактный соединитель D-Sub Номер контакта Назначение сигнала 1 Видео-красный 2 Видео-зеленый 3 Видео-синий 4 GND 5 Самотестирование 6 GND-R 7 GND-G 8 GND-B 9 DDC +5 В 10 GND-синхронизация 11 GND 12 Данные DDC 13 H-синхронизация 14 V-синхронизация 15 Часы DDC
Страница 78 - 0-контактный соединитель DP
78 │ Приложение Назначение контактов 20-контактный соединитель DP Номер контакта Назначение сигнала 1 ML_LANE3_N 2 GND 3 ML_LANE3_P 4 ML_LANE2_N 5 GND 6 ML_LANE2_P 7 ML_LANE1_N 8 GND 9 ML_LANE1_P 10 ML_LANE0_N 11 GND 12 ML_LANE0_P 13 GND 14 GND 15 AUX _CH_P 16 GND 17 AUX _CH_N 18 HPD 19 ВВОД 20 DP_P...
Страница 79 - 9-контактный соединитель HDMI
Приложение │ 79 Назначение контактов 19-контактный соединитель HDMI Номер контакта Назначение сигнала 1 ДАННЫЕ TMDS 2+ 2 ДАННЫЕ TMDS 2 SHIELD 3 ДАННЫЕ TMDS 2- 4 ДАННЫЕ TMDS 1+ 5 ДАННЫЕ TMDS 1 SHIELD 6 ДАННЫЕ TMDS 1- 7 ДАННЫЕ TMDS 0+ 8 ДАННЫЕ TMDS 0 SHIELD 9 ДАННЫЕ TMDS 0- 10 ЧАСЫ TMDS+ 11 ЭКРАН ЧАСО...