Страница 2 - Краткое руководство по установке; ПРЕДВАРИТЕЛЬНАЯ ПОДГОТОВКА; Комплект поставки; документ «
DIR-822 Краткое руководство по установке ПРЕДВАРИТЕЛЬНАЯ ПОДГОТОВКА Комплект поставки • Маршрутизатор DIR-822, • адаптер питания постоянного тока 12В/0,5А, • Ethernet-кабель, • документ « Краткое руководство по установке » (буклет). Если в комплекте поставки маршрутизатора отсутствует какой-либо ком...
Страница 3 - Установки по умолчанию; Доменное имя устройства; Маршрутизатор
DIR-822 Краткое руководство по установке Установки по умолчанию Доменное имя устройства dlinkrouter.local. IP-адрес устройства 192.168.0.1 Имя пользователя admin Пароль admin Название беспроводной сети 2,4 ГГц DIR-822 5 ГГц DIR-822-5G Ключ сети (пароль PSK) см. WPS PIN на наклейке со штрих-кодом на ...
Страница 4 - Системные требования и оборудование; Apple Safari версии 8 и выше,
DIR-822 Краткое руководство по установке Системные требования и оборудование • Мобильное устройство (смартфон или планшет) под управлением ОС Android или iOS или компьютер с любой операционной системой, которая поддерживает web-браузер. • Web-браузер для ПК для доступа к web-интерфейсу: ◦ Apple Safa...
Страница 5 - ПОДКЛЮЧЕНИЕ К КОМПЬЮТЕРУ; Подключите адаптер питания к соответствующему разъему на; POWER; на задней панели
DIR-822 Краткое руководство по установке ПОДКЛЮЧЕНИЕ К КОМПЬЮТЕРУ Подключение к компьютеру с Ethernet-адаптером 1. Подключите Ethernet-кабель к одному из LAN-портов, расположенных на задней панели маршрутизатора, и к Ethernet-адаптеру Вашего компьютера. 2. Подключите адаптер питания к соответствующе...
Страница 6 - Автоматическое
DIR-822 Краткое руководство по установке Автоматическое получение IP-адреса (ОС Windows 7) 1. Нажмите кнопку Пуск и перейдите в раздел Панель управления . 2. Выберите пункт Центр управления сетями и общим доступом . (Если панель управления имеет вид «по категориям» (в верхнем правом углу окна в спис...
Страница 7 - Убедитесь, что переключатели установлены в положения
DIR-822 Краткое руководство по установке 6. Убедитесь, что переключатели установлены в положения Получить IP-адрес автоматически и Получить адрес DNS-сервера автоматически . Нажмите кнопку ОК . 7. Нажмите кнопку OK в окне свойств подключения. 7
Страница 10 - Подключение к компьютеру с Wi-Fi-адаптером; Подключите адаптер питания к соответствующему разъему на
DIR-822 Краткое руководство по установке Подключение к компьютеру с Wi-Fi-адаптером 1. Подключите адаптер питания к соответствующему разъему на задней панели маршрутизатора, а затем – к электрической розетке. 2. Включите маршрутизатор, нажав кнопку POWER на задней панели устройства. 3. Убедитесь, чт...
Страница 13 - Подключение
DIR-822 Краткое руководство по установке 9. В открывшемся окне в списке доступных беспроводных сетей выделите беспроводную сеть DIR-822 (для работы в диапазоне 2,4 ГГц) или DIR-822-5G (для работы в диапазоне 5 ГГц), а затем нажмите кнопку Подключение . 10. В открывшемся окне введите ключ сети (см. W...
Страница 14 - к беспроводной
DIR-822 Краткое руководство по установке Автоматическое получение IP-адреса и подключение к беспроводной сети (ОС Windows 10) 1. Нажмите кнопку Пуск и перейдите в раздел Параметры . 2. Выберите пункт Сеть и Интернет . 3. В разделе Изменение сетевых параметров выберите пункт Настройка параметров адап...
Страница 16 - Подключиться
DIR-822 Краткое руководство по установке 9. В открывшемся окне в списке доступных беспроводных сетей выделите беспроводную сеть DIR-822 (для работы в диапазоне 2,4 ГГц) или DIR-822-5G (для работы в диапазоне 5 ГГц), а затем нажмите кнопку Подключиться . 10. В открывшемся окне введите ключ сети (см. ...
Страница 17 - НАСТРОЙКА МАРШРУТИЗАТОРА; Подключение к web-интерфейсу; с точкой в конце и нажмите клавишу; Enter; адрес устройства (по умолчанию –
DIR-822 Краткое руководство по установке НАСТРОЙКА МАРШРУТИЗАТОРА Подключение к web-интерфейсу Запустите web-браузер. В адресной строке web-браузера введите доменное имя маршрутизатора (по умолчанию – dlinkrouter.local ) с точкой в конце и нажмите клавишу Enter . Вы также можете ввести IP- адрес уст...
Страница 18 - admin; поле; Имя пользователя; и заданный Вами пароль в поле; Пароль; затем нажмите кнопку; ВХОД
DIR-822 Краткое руководство по установке Если ранее Вы настроили устройство, при обращении к web-интерфейсу откроется страница входа в систему. Введите имя пользователя ( admin ) в поле Имя пользователя и заданный Вами пароль в поле Пароль , затем нажмите кнопку ВХОД . Если при вводе пароля Вы неско...
Страница 20 - Начало; представлены ссылки на страницы настроек, к; Конфигурация
DIR-822 Краткое руководство по установке На странице Начало представлены ссылки на страницы настроек, к которым часто обращаются пользователи при работе с web-интерфейсом. Web-интерфейс маршрутизатора доступен на нескольких языках. Выбрать нужный язык Вы можете во время начальной настройки web-интер...
Страница 21 - Мастер начальной настройки; Начальная настройка; Нажмите кнопку; ОК; и дождитесь восстановления заводских настроек; ДАЛЕЕ; . Затем нажмите кнопку; НАЧАТЬ
DIR-822 Краткое руководство по установке Мастер начальной настройки Чтобы запустить Мастер начальной настройки самостоятельно, перейдите в раздел Начальная настройка . Нажмите кнопку ОК и дождитесь восстановления заводских настроек устройства. Если первичная настройка маршрутизатора выполняется чере...
Страница 22 - Нажмите кнопку; ДА; интерфейса, или нажмите кнопку; НЕТ; На следующей странице нажмите кнопку; ПРОДОЛЖИТЬ
DIR-822 Краткое руководство по установке 1. Нажмите кнопку ДА ( YES ), чтобы оставить текущий язык web- интерфейса, или нажмите кнопку НЕТ ( NO ), чтобы выбрать другой язык. 2. На следующей странице нажмите кнопку ПРОДОЛЖИТЬ . 22
Страница 23 - Выбор режима работы устройства
DIR-822 Краткое руководство по установке Выбор режима работы устройства Выберите необходимый режим работы и нажмите кнопку ДАЛЕЕ . Маршрутизатор Чтобы подключить Ваше устройство к проводному интернет-провайдеру, на странице Режим работы устройства в списке Способ подключения выберите значение Провод...
Страница 24 - Точка доступа или повторитель
DIR-822 Краткое руководство по установке Точка доступа или повторитель Чтобы подключить Ваше устройство к проводному маршрутизатору для добавления беспроводной сети к существующей локальной сети, на странице Режим работы устройства в списке Способ подключения выберите значение Проводное подключение ...
Страница 25 - Изменение LAN IPv4-адреса; Этот шаг доступен для режимов; Точка доступа; Установите флажок; Автоматическое назначение IPv4-адреса; чтобы устройство автоматически получало LAN IPv4-адрес.; Имя устройства; необходимо задать доменное имя
DIR-822 Краткое руководство по установке Изменение LAN IPv4-адреса Этот шаг доступен для режимов Точка доступа , Повторитель и Клиент . 1. Установите флажок Автоматическое назначение IPv4-адреса , чтобы устройство автоматически получало LAN IPv4-адрес. 2. В поле Имя устройства необходимо задать доме...
Страница 26 - Автоматическое назначение IPv4-адреса; заполните поля; Маска подсети; . Убедитесь, что назначаемый адрес
DIR-822 Краткое руководство по установке Если Вы хотите вручную назначить LAN IPv4-адрес DIR-822, не устанавливайте флажок Автоматическое назначение IPv4-адреса и заполните поля IP-адрес , Маска подсети , Имя устройства и, если необходимо, поле IP-адрес шлюза . Убедитесь, что назначаемый адрес не со...
Страница 28 - Настройка WAN-соединения
DIR-822 Краткое руководство по установке Настройка WAN-соединения Этот шаг доступен для режимов Маршрутизатор и Повторитель WISP . ! Настройка WAN-соединений производится в соответствии с данными, предоставленными провайдером доступа к сети Интернет. Прежде чем настраивать соединение, убедитесь, что...
Страница 30 - PPTP + Динамический IP или L2TP + Динамический IP:; и пароль в поле; задайте IP- или
DIR-822 Краткое руководство по установке PPTP + Динамический IP или L2TP + Динамический IP: Введите данные для авторизации, предоставленные Вашим провайдером (имя пользователя (логин) в поле Имя пользователя и пароль в поле Пароль ). Нажмите на значок Показать ( ), чтобы отобразить введенный пароль....
Страница 31 - Введите данные
DIR-822 Краткое руководство по установке PPTP + Статический IP или L2TP + Статический IP: Введите данные для авторизации, предоставленные Вашим провайдером (имя пользователя (логин) в поле Имя пользователя и пароль в поле Пароль ). Нажмите на значок Показать ( ), чтобы отобразить введенный пароль. Е...
Страница 33 - Настройка беспроводной сети
DIR-822 Краткое руководство по установке Настройка беспроводной сети Этот шаг доступен для режимов Маршрутизатор , Точка доступа , Повторитель WISP и Повторитель . 1. На странице Беспроводная сеть 2.4 ГГц в поле Имя основной Wi-Fi-сети задайте свое название для беспроводной сети в диапазоне 2,4 ГГц ...
Страница 35 - Этот шаг доступен для режима; установите флажок; К устройству; Если услуга IPTV предоставляется через VLAN-канал, установите; Использовать VLAN ID; и заполните отобразившееся
DIR-822 Краткое руководство по установке Настройка LAN-портов для IPTV/VoIP Этот шаг доступен для режима Маршрутизатор . 1. На странице IP-телевидение установите флажок К устройству подключена ТВ-приставка . 2. Выделите свободный LAN-порт для подключения IPTV-приставки. 3. Если услуга IPTV предостав...
Страница 36 - Если услуга VoIP предоставляется через VLAN-канал, установите
DIR-822 Краткое руководство по установке 5. На странице IP-телефония установите флажок К устройству подключен IP-телефон . 6. Выделите свободный LAN-порт для подключения VoIP-телефона. 7. Если услуга VoIP предоставляется через VLAN-канал, установите флажок Использовать VLAN ID и заполните отобразивш...
Страница 37 - Изменение пароля web-интерфейса; Пароль интерфейса пользователя; Вы можете установить любой пароль, кроме; Нажмите кнопку; На следующей странице проверьте все заданные Вами настройки.; СОХРАНИТЬ ФАЙЛ С НАСТРОЙКАМИ; и следуйте инструкциям
DIR-822 Краткое руководство по установке Изменение пароля web-интерфейса На данной странице необходимо изменить пароль администратора, заданный по умолчанию. Для этого введите новый пароль в поля Пароль интерфейса пользователя и Подтверждение пароля . Вы можете установить любой пароль, кроме admin ....
Страница 38 - Чтобы завершить работу Мастера, нажмите кнопку; ПРИМЕНИТЬ
DIR-822 Краткое руководство по установке Чтобы завершить работу Мастера, нажмите кнопку ПРИМЕНИТЬ . Маршрутизатор применит настройки, перезагрузится, если это необходимо, и проверит подключение к сети Интернет, если Мастер настраивал WAN-соединение. 38
Страница 40 - . По умолчанию встроенный
DIR-822 Краткое руководство по установке 4. Назначение IPv4-адресов . По умолчанию встроенный DHCP-сервер маршрутизатора назначает IPv4-адреса устройствам локальной сети. Если Вы хотите вручную назначать IPv4-адреса, выключите DHCP-сервер (перейдите на вкладку IPv4 и выберите значение Отключено в ра...
Страница 41 - Если Вы хотите; Отключено; в раскрывающемся списке; Режим
DIR-822 Краткое руководство по установке 5. Назначение IPv6-адресов . По умолчанию устройства локальной сети автоматически назначают себе IPv6-адреса (на вкладке IPv6 в разделе Динамические IPv6 в списке Режим динамического назначения IPv6-адресов выделено значение Stateless ). Если устройства локал...
Страница 42 - ТЕХНИЧЕСКИЕ ХАРАКТЕРИСТИКИ; Аппаратное обеспечение; версии внутреннего ПО и соответствующую документацию на сайте
DIR-822 Краткое руководство по установке ТЕХНИЧЕСКИЕ ХАРАКТЕРИСТИКИ * Аппаратное обеспечение Процессор · RTL8197FN (1 ГГц) Оперативная память · 64 MБ, DDR2, встроенная в процессор Flash-память · 8 МБ, SPI Интерфейсы · Порт WAN 10/100BASE-TX · 4 порта LAN 10/100BASE-TX Индикаторы · Питание · Интернет...
Страница 44 - Параметры беспроводного модуля
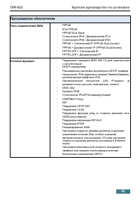
DIR-822 Краткое руководство по установке Программное обеспечение Функции межсетевого экрана · Преобразование сетевых адресов (NAT) · Контроль состояния соединений (SPI) · IPv4/IPv6-фильтр · MAC-фильтр · URL-фильтр · DMZ-зона · Функция защиты от ARP- и DDoS-атак · Виртуальные серверы · Встроенный сер...
Страница 49 - Физические параметры; Условия эксплуатации
DIR-822 Краткое руководство по установке Параметры беспроводного модуля VHT40-79 дБм при MCS0-76 дБм при MCS1-74 дБм при MCS2-71 дБм при MCS3-67 дБм при MCS4-63 дБм при MCS5-62 дБм при MCS6-61 дБм при MCS7-56 дБм при MCS8-54 дБм при MCS9VHT80-76 дБм при MCS0-73 дБм при MCS1-71 дБм при MCS2-68 дБм пр...
Страница 51 - ТЕХНИЧЕСКАЯ ПОДДЕРЖКА; ДЛЯ КЛИЕНТОВ НА ТЕРРИТОРИИ РОССИИ; ТЕХНИЧЕСКАЯ ПОДДЕРЖКА КОМПАНИИ D-LINK; АДРЕСА И ТЕЛЕФОНЫ ОФИСОВ D-LINK ПО ВСЕМУ МИРУ; ИЗГОТОВИТЕЛЬ И ИМПОРТЕР; Изготовитель
DIR-822 Краткое руководство по установке ТЕХНИЧЕСКАЯ ПОДДЕРЖКА Обновления программного обеспечения и документация доступны на сайте нашей компании. Компания D-Link предоставляет бесплатную поддержку для клиентов в течение гарантийного срока. Клиенты могут обратиться в группу технической поддержки D-...