Страница 2 - Краткое руководство по установке; ПРЕДВАРИТЕЛЬНАЯ ПОДГОТОВКА; Комплект поставки; документ «
DIR-1260 Краткое руководство по установке ПРЕДВАРИТЕЛЬНАЯ ПОДГОТОВКА Комплект поставки • Маршрутизатор DIR-1260, • адаптер питания постоянного тока 12В/1,5А, • Ethernet-кабель, • документ « Краткое руководство по установке » (буклет). Если в комплекте поставки маршрутизатора отсутствует какой-либоко...
Страница 3 - Установки по умолчанию; Доменное имя устройства; Маршрутизатор
DIR-1260 Краткое руководство по установке Установки по умолчанию Доменное имя устройства dlinkrouter.local. IP-адрес устройства 192.168.0.1 Имя пользователя admin Пароль admin Название беспроводной сети 2,4 ГГц DIR-1260 5 ГГц DIR-1260-5G Ключ сети (пароль PSK) см. WPS PIN на наклейке со штрих-кодом ...
Страница 4 - Системные требования и оборудование; Apple Safari версии 8 и выше,; услуги и ее стоимости.
DIR-1260 Краткое руководство по установке Системные требования и оборудование • Мобильное устройство (смартфон или планшет) под управлениемОС Android или iOS или компьютер с любой операционнойсистемой, которая поддерживает web-браузер. • Web-браузер для ПК для доступа к web-интерфейсу: ◦ Apple Safar...
Страница 5 - ПОДКЛЮЧЕНИЕ К КОМПЬЮТЕРУ; Для подключения через USB-модем; POWER; на задней панели
DIR-1260 Краткое руководство по установке ПОДКЛЮЧЕНИЕ К КОМПЬЮТЕРУ Подключение к компьютеру с Ethernet-адаптером 1. Подключите Ethernet-кабель к одному из LAN-портов, расположенных на задней панели маршрутизатора, и к Ethernet-адаптеру Вашего компьютера. 2. Для подключения через USB-модем : подключи...
Страница 6 - Автоматическое
DIR-1260 Краткое руководство по установке Автоматическое получение IP-адреса (ОС Windows 7) 1. Нажмите кнопку Пуск и перейдите в раздел Панель управления . 2. Выберите пункт Центр управления сетями и общим доступом . (Если панель управления имеет вид «по категориям» (в верхнем правом углу окна в спи...
Страница 7 - Убедитесь, что переключатели установлены в положения
DIR-1260 Краткое руководство по установке 6. Убедитесь, что переключатели установлены в положения Получить IP-адрес автоматически и Получить адрес DNS-сервера автоматически . Нажмите кнопку ОК . 7. Нажмите кнопку OK в окне свойств подключения. 7
Страница 10 - Подключение к компьютеру с Wi-Fi-адаптером
DIR-1260 Краткое руководство по установке Подключение к компьютеру с Wi-Fi-адаптером 1. Для подключения через USB-модем : подключите USB-модем к USB-порту 3 , расположенному на задней панели маршрутизатора. ! В некоторых случаях после подключения USB-модема необходимоперезагрузить маршрутизатор. 2. ...
Страница 13 - Подключение
DIR-1260 Краткое руководство по установке 9. В открывшемся окне в списке доступных беспроводных сетей выделите беспроводную сеть DIR-1260 (для работы в диапазоне 2,4 ГГц) или DIR-1260-5G (для работы в диапазоне 5 ГГц), а затем нажмите кнопку Подключение . 10. В открывшемся окне введите ключ сети (см...
Страница 14 - к беспроводной
DIR-1260 Краткое руководство по установке Автоматическое получение IP-адреса иподключение к беспроводной сети (ОС Windows 10) 1. Нажмите кнопку Пуск и перейдите в раздел Параметры . 2. Выберите пункт Сеть и Интернет . 3. В разделе Изменение сетевых параметров выберите пункт Настройка параметров адап...
Страница 16 - Подключиться
DIR-1260 Краткое руководство по установке 9. В открывшемся окне в списке доступных беспроводных сетей выделите беспроводную сеть DIR-1260 (для работы в диапазоне 2,4 ГГц) или DIR-1260-5G (для работы в диапазоне 5 ГГц), а затем нажмите кнопку Подключиться . 10. В открывшемся окне введите ключ сети (с...
Страница 17 - НАСТРОЙКА МАРШРУТИЗАТОРА; Подключение к web-интерфейсу; с точкой в конце и нажмите клавишу; Enter; адрес устройства (по умолчанию –
DIR-1260 Краткое руководство по установке НАСТРОЙКА МАРШРУТИЗАТОРА Подключение к web-интерфейсу Запустите web-браузер. В адресной строке web-браузера введитедоменное имя маршрутизатора (по умолчанию – dlinkrouter.local ) с точкой в конце и нажмите клавишу Enter . Вы также можете ввести IP- адрес уст...
Страница 18 - admin
DIR-1260 Краткое руководство по установке Если ранее Вы настроили устройство, при обращении к web-интерфейсуоткроется страница входа в систему. Введите имя пользователя ( admin ) в поле Имя пользователя и заданный Вами пароль в поле Пароль , затем нажмите кнопку ВХОД . Чтобы не выходить из системы, ...
Страница 20 - Начало; представлены ссылки на страницы настроек, к; Конфигурация
DIR-1260 Краткое руководство по установке На странице Начало представлены ссылки на страницы настроек, к которым часто обращаются пользователи при работе с web-интерфейсом. Web-интерфейс маршрутизатора доступен на нескольких языках.Выбрать нужный язык Вы можете во время начальной настройки web-интер...
Страница 22 - Мастер начальной настройки; Начальная настройка; Нажмите кнопку; ОК; и дождитесь восстановления заводских настроек; ДАЛЕЕ; . Затем нажмите кнопку; НАЧАТЬ
DIR-1260 Краткое руководство по установке Мастер начальной настройки Чтобы запустить Мастер начальной настройки самостоятельно,перейдите в раздел Начальная настройка . Нажмите кнопку ОК и дождитесь восстановления заводских настроек устройства. Если первичная настройка маршрутизатора выполняется чере...
Страница 23 - Нажмите кнопку; ДА; интерфейса, или нажмите кнопку; НЕТ; На следующей странице нажмите кнопку; ПРОДОЛЖИТЬ
DIR-1260 Краткое руководство по установке 1. Нажмите кнопку ДА ( YES ), чтобы оставить текущий язык web- интерфейса, или нажмите кнопку НЕТ ( NO ), чтобы выбрать другой язык. 2. На следующей странице нажмите кнопку ПРОДОЛЖИТЬ . 23
Страница 24 - Выбор режима работы устройства; Выберите необходимый режим работы и нажмите кнопку; в списке
DIR-1260 Краткое руководство по установке Выбор режима работы устройства Выберите необходимый режим работы и нажмите кнопку ДАЛЕЕ . Маршрутизатор Чтобы подключить Ваше устройство к проводному интернет-провайдеру,на странице Режим работы устройства в списке Способ подключения выберите значение Провод...
Страница 26 - Точка доступа или повторитель
DIR-1260 Краткое руководство по установке Точка доступа или повторитель Чтобы подключить Ваше устройство к проводному маршрутизатору длядобавления беспроводной сети к существующей локальной сети, настранице Режим работы устройства в списке Способ подключения выберите значение Проводное подключение ....
Страница 27 - Этот шаг доступен для режима; Мобильный интернет; Если для SIM-карты Вашего USB-модема установлена проверка; PIN; и нажмите кнопку; ПРИМЕНИТЬ; Подождите, пока маршрутизатор автоматически создает
DIR-1260 Краткое руководство по установке Создание 3G/LTE WAN-соединения Этот шаг доступен для режима Мобильный интернет . 1. Если для SIM-карты Вашего USB-модема установлена проверка PIN-кода, введите PIN-код в поле PIN и нажмите кнопку ПРИМЕНИТЬ . 2. Подождите, пока маршрутизатор автоматически соз...
Страница 29 - Изменение LAN IPv4-адреса; Этот шаг доступен для режимов; Точка доступа; Установите флажок; Автоматическое назначение IPv4-адреса; чтобы устройство автоматически получало LAN IPv4-адрес.; Имя устройства; необходимо задать доменное имя
DIR-1260 Краткое руководство по установке Изменение LAN IPv4-адреса Этот шаг доступен для режимов Точка доступа , Повторитель и Клиент . 1. Установите флажок Автоматическое назначение IPv4-адреса , чтобы устройство автоматически получало LAN IPv4-адрес. 2. В поле Имя устройства необходимо задать дом...
Страница 30 - Автоматическое назначение IPv4-адреса; заполните поля; Маска подсети; Нажмите кнопку
DIR-1260 Краткое руководство по установке Если Вы хотите вручную назначить LAN IPv4-адрес DIR-1260, неустанавливайте флажок Автоматическое назначение IPv4-адреса и заполните поля IP-адрес , Маска подсети , IP-адрес DNS-сервера, Имя устройства и, если необходимо, поле IP-адрес шлюза . Убедитесь, что ...
Страница 32 - Частотный диапазон; и введите; Сетевая аутентификация; введите пароль в соответствующее поле.
DIR-1260 Краткое руководство по установке Если Вы подключаетесь к скрытой сети, выберите диапазон, в которомработает скрытая сеть, в списке Частотный диапазон и введите название сети в поле Имя сети (SSID) . Затем выберите необходимое значение в списке Сетевая аутентификация и, если необходимо, введ...
Страница 33 - Настройка проводного WAN-соединения
DIR-1260 Краткое руководство по установке Настройка проводного WAN-соединения Этот шаг доступен для режимов Маршрутизатор и Повторитель WISP . ! Настройка WAN-соединений производится в соответствии сданными, предоставленными провайдером доступа к сетиИнтернет. Прежде чем настраивать соединение, убед...
Страница 35 - PPTP + Динамический IP или L2TP + Динамический IP:; Имя пользователя; и пароль в поле; Пароль
DIR-1260 Краткое руководство по установке PPTP + Динамический IP или L2TP + Динамический IP: Введите данные для авторизации, предоставленные Вашим провайдером (имяпользователя (логин) в поле Имя пользователя и пароль в поле Пароль ). Нажмите на значок Показать ( ), чтобы отобразить введенный пароль....
Страница 36 - Введите данные
DIR-1260 Краткое руководство по установке PPTP + Статический IP или L2TP + Статический IP: Введите данные для авторизации, предоставленные Вашим провайдером (имяпользователя (логин) в поле Имя пользователя и пароль в поле Пароль ). Нажмите на значок Показать ( ), чтобы отобразить введенный пароль. Е...
Страница 38 - Настройка беспроводной сети
DIR-1260 Краткое руководство по установке Настройка беспроводной сети Этот шаг доступен для режимов Мобильный интернет , Маршрутизатор , Точка доступа , Повторитель WISP и Повторитель . 1. На странице Беспроводная сеть 2.4 ГГц в поле Имя основной Wi-Fi-сети задайте свое название для беспроводной сет...
Страница 40 - Этот шаг доступен только для режима; установите флажок; К устройству; Если услуга IPTV предоставляется через VLAN-канал, установите; Использовать VLAN ID; и заполните отобразившееся
DIR-1260 Краткое руководство по установке Настройка LAN-портов для IPTV/VoIP Этот шаг доступен только для режима Маршрутизатор . 1. На странице IP-телевидение установите флажок К устройству подключена ТВ-приставка . 2. Выделите свободный LAN-порт для подключения IPTV-приставки. 3. Если услуга IPTV п...
Страница 41 - Если услуга VoIP предоставляется через VLAN-канал, установите
DIR-1260 Краткое руководство по установке 5. На странице IP-телефония установите флажок К устройству подключен IP-телефон . 6. Выделите свободный LAN-порт для подключения VoIP-телефона. 7. Если услуга VoIP предоставляется через VLAN-канал, установите флажок Использовать VLAN ID и заполните отобразив...
Страница 42 - Изменение пароля web-интерфейса; Пароль интерфейса пользователя; Вы можете установить любой пароль, кроме; На следующей странице проверьте все заданные Вами настройки.; СОХРАНИТЬ ФАЙЛ С НАСТРОЙКАМИ; и следуйте инструкциям
DIR-1260 Краткое руководство по установке Изменение пароля web-интерфейса На данной странице необходимо изменить пароль администратора,заданный по умолчанию. Для этого введите новый пароль в поля Пароль интерфейса пользователя и Подтверждение пароля . Вы можете установить любой пароль, кроме admin ....
Страница 43 - Чтобы завершить работу Мастера, нажмите кнопку
DIR-1260 Краткое руководство по установке Чтобы завершить работу Мастера, нажмите кнопку ПРИМЕНИТЬ . Маршрутизатор применит настройки, перезагрузится, если этонеобходимо, и проверит подключение к сети Интернет, если Мастернастраивал WAN-соединение. 43
Страница 44 - Настройка локальной сети; нажмите кнопку; ДОБАВИТЬ
DIR-1260 Краткое руководство по установке Настройка локальной сети 1. Перейдите на страницу Настройка соединений / LAN . 2. Если необходимо изменить IPv4-адрес LAN-интерфейса маршрутизатора и маску локальной подсети, перейдите на вкладку IPv4 и задайте необходимые значения в полях IP-адрес и Маска п...
Страница 45 - . По умолчанию встроенный
DIR-1260 Краткое руководство по установке 4. Назначение IPv4-адресов . По умолчанию встроенный DHCP-сервер маршрутизатора назначает IPv4-адреса устройствамлокальной сети. Если Вы хотите вручную назначать IPv4-адреса,выключите DHCP-сервер (перейдите на вкладку IPv4 и выберите значение Отключено в рас...
Страница 47 - Настройка сетевого принтера; Включить принт-сервер
DIR-1260 Краткое руководство по установке Настройка сетевого принтера 1. Убедитесь, что на Вашем компьютере установлен драйвер для принтера, который будет использоваться в качестве сетевогопринтера 5 . 2. Чтобы подключить принтер к маршрутизатору, выключите питание обоих устройств. Подключите принте...
Страница 52 - ТЕХНИЧЕСКИЕ ХАРАКТЕРИСТИКИ; Аппаратное обеспечение; версии внутреннего ПО и соответствующую документацию на сайте
DIR-1260 Краткое руководство по установке ТЕХНИЧЕСКИЕ ХАРАКТЕРИСТИКИ * Аппаратное обеспечение Процессор · MT7621DAT (880 МГц, двухъядерный) Оперативная память · 128 MБ, DDR3 Flash-память · 128 МБ, NAND Интерфейсы · Порт WAN 10/100/1000BASE-T · 4 порта LAN 10/100/1000BASE-T · Порт USB 2.0 Индикаторы ...
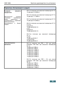
Страница 56 - Параметры беспроводного модуля
DIR-1260 Краткое руководство по установке Программное обеспечение Управление и мониторинг · Локальный и удаленный доступ к настройкам поSSH/TELNET/WEB (HTTP/HTTPS) · Web-интерфейс настройки и управления нанескольких языках · Поддержка приложения D-Link Assistant дляустройств под управлением ОС Andro...
Страница 61 - Условия эксплуатации
DIR-1260 Краткое руководство по установке Физические параметры Размеры (Д x Ш x В) · 238 x 156 x 31 мм Вес · 328 г Условия эксплуатации Питание · Выход: 12 В постоянного тока, 1,5 А Температура · Рабочая: от 0 до 40 °C · Хранения: от -20 до 65 °C Влажность · При эксплуатации: от 10% до 90% (без конд...
Страница 62 - модификациями внутреннего ПО USB-модемов.
DIR-1260 Краткое руководство по установке Поддерживаемые USB-модемы 7 GSM · Alcatel X500 · D-Link DWM-152C1 · D-Link DWM-156A6 · D-Link DWM-156A7 · D-Link DWM 156A8 · D-Link DWM-156C1 · D-Link DWM-157B1 · D-Link DWM-157B1 (Velcom) · D-Link DWM-158D1 · D-Link DWR-710 · Huawei E150 · Huawei E1550 · Hu...
Страница 65 - ТЕХНИЧЕСКАЯ ПОДДЕРЖКА; ДЛЯ КЛИЕНТОВ НА ТЕРРИТОРИИ РОССИИ; ТЕХНИЧЕСКАЯ ПОДДЕРЖКА КОМПАНИИ D-LINK; АДРЕСА И ТЕЛЕФОНЫ ОФИСОВ D-LINK ПО ВСЕМУ МИРУ; ИЗГОТОВИТЕЛЬ И ИМПОРТЕР; Изготовитель
DIR-1260 Краткое руководство по установке ТЕХНИЧЕСКАЯ ПОДДЕРЖКА Обновления программного обеспечения и документация доступны насайте нашей компании. Компания D-Link предоставляет бесплатную поддержку для клиентов втечение гарантийного срока. Клиенты могут обратиться в группу технической поддержки D-L...