Cold Vine C46-WM1-BAR1.4 - Инструкция по эксплуатации

Cold Vine C46-WM1-BAR1.4

Винный шкаф Cold Vine C46-WM1-BAR1.4 - инструкция пользователя по применению, эксплуатации и установке на русском языке. Мы надеемся, она поможет вам решить возникшие у вас вопросы при эксплуатации техники.

Если остались дополнительные вопросы — свяжитесь с нами через контактную форму.

1 Страница 1
2 Страница 2
3 Страница 3
4 Страница 4
5 Страница 5
6 Страница 6
7 Страница 7
8 Страница 8
9 Страница 9
10 Страница 10
11 Страница 11
12 Страница 12
13 Страница 13
14 Страница 14
15 Страница 15
Страница: / 15
Загрузка инструкции

1

ИНСТРУКЦИЯ

ПО ЭКСПЛУАТАЦИИ

ВИННЫЙ ШКАФ (ХОЛОДИЛЬНИК)

(в деревянном корпусе)

МОДЕЛИ

C46-W - C66-W - C108-W - C154-W - C262-W

"Загрузка инструкции" означает, что нужно подождать пока файл загрузится и можно будет его читать онлайн. Некоторые инструкции очень большие и время их появления зависит от вашей скорости интернета.

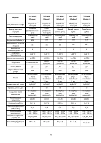
Характеристики

Другие модели - Винные шкафы Cold Vine

Все винные шкафы Cold Vine