Страница 2 - СОДЕРЖАНИЕ; Уважаемый потребитель!
1 СОДЕРЖАНИЕ 1. Меры безопасности2. Описание прибора3. Комплектность и устройство прибора4. Порядок работы5. Уход за прибором6. Технические характеристики7. Защита окружающей среды, утилизация прибора8. Информация о сертификации, гарантийные обязательства9. Информация о производителе, импортере Уваж...
Страница 4 - КОМПЛЕКТНОСТЬ И УСТРОЙСТВО ПРИБОРА; из нержавеющей стали; ПАНЕЛЬ УПРАВЛЕНИЯ
3 3. КОМПЛЕКТНОСТЬ И УСТРОЙСТВО ПРИБОРА 1. Два смотровых окна2. Крышка с отделкой из нержавеющей стали 3. LCD-дисплей и панель управления4. Корпус5. Пекарная камера и 2 ножа для замешивания теста 6. Крюк, мерный стаканчик 240 мл, мерная ложечка 3 мл/10 мл ПАНЕЛЬ УПРАВЛЕНИЯ 1. Кнопка «МЕНЮ»2. Кнопка ...
Страница 5 - ВЫПЕКАНИЕ ХЛЕБА; Нажмите кнопку «РАЗМЕР БУХАНКИ» и выберите стрелкой нужный раз-
4 4. ПОРЯДОК РАБОТЫ ВЫПЕКАНИЕ ХЛЕБА 1. Поместите прибор на ровную сухую устойчивую поверхность. Вставьте чашу в хлебопечку до упора. Нажмите на чашу для фиксации в нужной по-зиции. Убедитесь, что чаша правильно размещена. ПРИМЕЧАНИЕРекомендуется смазать ножи для замеса теста маслом, чтобы избежать з...
Страница 6 - и удерживать 3 секунды.; ПОСЛЕ ВКЛЮЧЕНИЯ ПИТАНИЯ
5 9. Программы Основной, Французский, Цельнозерновой, Без глютена, Слад- кий, Молочный хлеб, Дрожжевое тесто и Ручная настройка предполагают до-бавление ингредиентов во время приготовления. Когда придет время добав-лять ингредиенты, хлебопечь издаст десять звуковых сигналов и на дисплеепоявится знак...
Страница 7 - ». Цвет корочки нельзя менять; «РАЗМЕР БУХАНКИ»; рый означает функцию отсрочки.
6 Чтобы поставить программу на паузу, нажмите кнопку «СТАРТ/СТОП», после 3-минутной остановки программа продолжит работу.Чтобы полностью остановить программу, нажмите кнопку «СТАРТ/СТОП» и удерживайте в течение 3 секунд, раздастся звуковой сигнал, который означа-ет, что программа была отключена. Эта...
Страница 9 - ПРОГРАММЫ; ЦЕЛЬНОЗЕРНОВОЙ ХЛЕБ
8 ПРОГРАММЫ 1. ОСНОВНОЙ ХЛЕБ Включает все три стадии приготов-ления хлеба: замес теста, расстойка (подъем) теста и выпечка. 2. ФРАНЦУЗСКИЙ ХЛЕБ Приготовление хлеба занимает более продолжительное время, хлеб полу-чается с крупным пористым мякишем и хрустящей корочкой. 3. ЦЕЛЬНОЗЕРНОВОЙ ХЛЕБ Выпекайте...
Страница 10 - ЗАЩИТА ОКРУЖАЮЩЕЙ СРЕДЫ; ИНФОРМАЦИЯ О СЕРТИФИКАЦИИ,
9 5. УХОД ЗА ПРИБОРОМ - Очищайте корпус прибора по мере необходимости, при этом используйте чистую теплую воду и мягкую ткань, не используйте абразивные моющие средства и средства для мытья посуды. - Полностью очищайте внутреннюю чашу после каждого использования. Ис- пользуйте чистую теплую воду и м...
Страница 11 - Импортер на территорию РФ:
10 По окончании срока службы обратитесь в ближайший авторизованный сервисный центр для получения рекомендаций по дальнейшей эксплуатации прибора. Га-рантийное и послегарантийное обслуживание осуществляется генеральным сер-висным центром ООО «Ларина-Сервис», г. Краснодар. Тел.: 8 (861) 991-05-42. О н...
Страница 15 - чины, находящиеся вне контроля продавца и изготовителя
14 УВАЖАЕМЫЙ ПОТРЕБИТЕЛЬ! Срок гарантии на все приборы 12 месяцев с даты реализации конечному по-требителю. Данным гарантийным талоном производитель подтверждает ис-правность данного прибора и берет на себя обязательство по бесплатному устранению всех неисправностей, возникших по вине производителя....
Страница 17 - с хлебопекарной мукой.
16 ОСНОВНЫЕ ИНГРЕДИЕНТЫ И ИХ НАЗНАЧЕНИЕ МУКА Свойства муки определяются не только сортом, но и условиями выращивания зерна, способом обработки и хранения. Пробуйте печь хлеб из муки разных производителей и марок и найдите ту, которая удовлетворит Ваши потреб-ности. Основные виды хлебопекарной муки -...
Страница 18 - и в четком соблюдении их пропорций.; ЗАКЛАДКА ИНГРЕДИЕНТОВ
17 в программе «Быстрый». Соду необ-ходимо предварительно смешать с лимонной кислотой и небольшим ко-личеством муки (5 г пищевой соды, 3 г лимонной кислоты и 12 г муки). Это количество порошка (20 г) рассчита-но на 500 г муки. Не используйте для гашения соды уксус, это делает мякиш менее однородным ...
Страница 19 - РЕЦЕПТЫ
18 РЕЦЕПТЫ 1. ОСНОВНОЙ ХЛЕБ 1000 г Вода 290 мл Масло 3 ст.л. Соль 1 ч.л. Сахар 3 ст.л. Мука 475 г Дрожжи 1 ч.л. 1500 г Вода 520 мл Масло 5 ст.л. Соль 2ч.л. Сахар 4 ст.л. Мука 840 г Дрожжи 2 ч.л. 2. ФРАНЦУЗСКИЙ ХЛЕБ 1000 г Вода 560 мл Масло 2 ст.л. Соль 1 ч.л. Сахар 1 ст.л. Мука 800 г Дрожжи 1,5 ч.л....
Страница 20 - РУЧНАЯ НАСТРОЙКА
19 1500 г Вода 380 мл Масло 4 ст.л. Соль 1,5 ч.л. Яйца 2 шт. Сахар 5 ст.л. Мука без глютена 760 г Кукурузный порошок 140 г Дрожжи 3 ч.л. 7. БЫСТРЫЙ ХЛЕБ 1000 г Вода 280 мл Масло 4 ст.л. Соль 1 ч.л. Сахар 4 ст.л. Мука 580 г Дрожжи 2,5 ч.л. 1500 г Вода 380 мл Масло 5 ст.л. Соль 1 ч.л. Сахар 5 ст.л. Му...
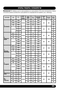
Страница 21 - ЭТАПЫ РАБОТЫ ХЛЕБОПЕЧИ; В первых шести программах и в программе «Ручная настройка» перед
20 ЭТАПЫ РАБОТЫ ХЛЕБОПЕЧИ Внимание! В первых шести программах и в программе «Ручная настройка» перед началом замеса хлебопечь прогревается определенное время. (см. таблицу). ПРОГРАММА ЦВЕТ ВЕС, Г МАКС. ОТ- СРОЧКА СТАРТА ОБЩЕЕВРЕМЯ РАБОТЫ ПРО- ГРЕВ ДОБ. ИНГР. ВО ВРЕМЯ ГОТОВКИ ЗАМ ЕС/ РАС- СТОЙКА ВЫСТ...