Siemens HB56LS550E - инструкции и руководства
Siemens HB56LS550E - инструкции пользователя по применению, эксплуатации и установке на русском языке читайте онлайн в формате pdf
Инструкции:
Инструкция по эксплуатации Siemens HB56LS550E
1
2
3
4
5
6
7
8
9
10
11
12
13
14
15
16
17
18
19
20
21
22
23
24
25
26
27
28
29
30
31
32
33
34
35
36
37
38
39
40
41
42
43
44
45
46
47
48
49
50
51
52
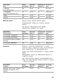
53
54
55
56
57
58
59
60
61
62
63
64
65
66
67
68
69
70
71
72
73
74
75
76
77
78
79
80
81
82
83
84
85
86
87
88
Siemens Инструкции
-
Siemens A35
Инструкция по эксплуатации
-
Siemens A50
Инструкция по эксплуатации
-
Siemens A70
Инструкция по эксплуатации
-
Siemens C25
Инструкция по эксплуатации
-
Siemens C30
Инструкция по эксплуатации
-
Siemens C55
Инструкция по эксплуатации
-
Siemens DE1821415
Инструкция по эксплуатации
-
Siemens DE1821515
Инструкция по эксплуатации
-
Siemens DE18401
Инструкция по эксплуатации
-
Siemens DE2427415
Инструкция по эксплуатации
-
Siemens DE2427515
Инструкция по эксплуатации
-
Siemens DE2427555
Инструкция по эксплуатации
-
Siemens DH 12102
Инструкция по эксплуатации
-
Siemens DO10702
Инструкция по эксплуатации
-
Siemens EC616PB90R
Инструкция по эксплуатации
-
Siemens EC645PB80E
Инструкция по эксплуатации
-
Siemens EC745RT90E
Инструкция по эксплуатации
-
Siemens EF645EN11
Инструкция по эксплуатации
-
Siemens EH375CE11E
Инструкция по эксплуатации
-
Siemens EH375MV17E
Инструкция по эксплуатации