Siemens HB 75BC550F - инструкции и руководства
Печь Siemens HB 75BC550F - инструкции пользователя по применению, эксплуатации и установке на русском языке читайте онлайн в формате pdf
Инструкции:
Инструкция по эксплуатации Siemens HB 75BC550F
1
2
3
4
5
6
7
8
9
10
11
12
13
14
15
16
17
18
19
20
21
22
23
24
25
26
27
28
29
30
31
32
33
34
35
36
37
38
39
40
41
42
43
44
45
46
47
48
49
50
51
52
53
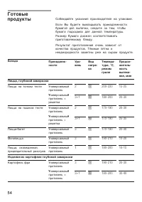
54
55
56
57
58
59
60
61
62
63
64
65
66
67
68
Siemens Печи Инструкции
-
Siemens HB 43GR640
Инструкция по эксплуатации
-
Siemens HB 75BC650F
Инструкция по эксплуатации
-
Siemens HB23AB510E
Инструкция по эксплуатации
-
Siemens HB23AR510E
Инструкция по эксплуатации
-
Siemens HB23AS540
Инструкция по эксплуатации
-
Siemens HB23GB541R
Инструкция по эксплуатации
-
Siemens HB23GB556
Инструкция по эксплуатации
-
Siemens HB26D552
Инструкция по эксплуатации
-
Siemens HB37AS560R
Инструкция по эксплуатации
-
Siemens HB43GB540
Инструкция по эксплуатации
-
Siemens HB43GT555
Инструкция по эксплуатации
-
Siemens HB75BC552F
Инструкция по эксплуатации
-
Siemens HB75BC652F
Инструкция по эксплуатации
-
Siemens HB78U570S
Инструкция по эксплуатации
-
Siemens HB86Q260N
Инструкция по эксплуатации
-
Siemens HB870570
Инструкция по эксплуатации
-
Siemens HB870670
Инструкция по эксплуатации
-
Siemens HB933R52
Инструкция по эксплуатации
-
Siemens HE784270
Инструкция по эксплуатации
-
Siemens HE784470
Инструкция по эксплуатации