Saturn ST-EC10711 - инструкции и руководства

Печь Saturn ST-EC10711 - инструкции пользователя по применению, эксплуатации и установке на русском языке читайте онлайн в формате pdf

1 Page 1
2 Page 2
3 Page 3
4 Page 4
5 Page 5
6 Page 6
7 Page 7
8 Page 8
9 Page 9
10 Page 10
11 Page 11
12 Page 12
13 Page 13
14 Page 14
15 Page 15
16 Page 16
17 Page 17
18 Page 18
19 Page 19
20 Page 20
21 Page 21
22 Page 22
23 Page 23
24 Page 24
25 Page 25
26 Page 26
27 Page 27
28 Page 28
29 Page 29
30 Page 30
31 Page 31
32 Page 32
33 Page 33
34 Page 34
35 Page 35
36 Page 36
37 Page 37
38 Page 38
39 Page 39
40 Page 40
41 Page 41
42 Page 42
43 Page 43

Краткое содержание

Страница 10 - Схема работы нагревательных элементов

9 Меры безопасности Следующие меры безопасности являются основными при регулярном использова- нии электрических приборов. При первом использовании, рекомендуем включить электрическую печь с откры- той дверцей на протяжении 10 минут. Краска и смазочное масло, которое оста- лось после производства, ис...

Страница 11 - Конфорки; Внимание

10 Вкл. Вкл. Конфорки 2 Кон- форки Селек-торный пере- клю-чатель печи Ма- лая кон-фор- ка 450 Вт Ø 85 Боль-шая кон-форка 1000 Вт Ø 145 Большая конфорка 1000 Вт Ø 145 Боль- шая кон-форка 1000 Вт + 1000 Вт Ø 145 Вкл. Блюдо Время приготовле ния (мин.) Температура Цыпленок 50-60 240 - 250 Сметанный пиро...

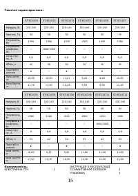
Страница 12 - Технические характеристики:; Комплектность; ЭЛЕКТРИЧЕСКАЯ ПЕЧЬ 1

1 Технические характеристики: ST-EC1070 ST-EC1072 ST-EC1074 ST-EC1075 ST-EC1076 ST-EC1077 Напряже-ние, В 220-240 220-240 220-240 220-240 220-240 220-240 Частота, Гц 50 50 50 50 50 50 Мощность, Вт 1500 1500 1500 1500 1500 1500 Мощность конфорок, Вт − 1000/1000 − − − − Сила тока, A 6,8 6,8 6,8 6,8 6,8...

Saturn Печи Инструкции