Страница 2 - Основные компоненты
page 36 RST01937 meteostanciya Компания RST благодарит Вас за покупку новой профессиональной интернет-метеостанции RST01937, в которой воплощены , кроме современных высокотехнологичных идей самые последние достижения компании RST в области дизайна и эргономики. Обтекаемые линии и динамичный силуэт н...
Страница 3 - Основные функции
RST01937 meteostanciya page 37 основной блок Примечание: USB-порт на консоли метеостанции предназначен только для обновления про- граммного обеспечения, а не для передачи данных. комплетация В комплект поставки метеостанции входит: основной блок (базовый дисплей) 1 шт. наружный датчик RST02915 1 шт....
Страница 4 - Установка метеостанции; Выносной сенсор
page 38 RST01937 meteostanciya Установка метеостанции Перед размещением и установкой всех компонентов метеостанции в удобном Вам месте, пожалуйста, настройте взаимодействие всех датчиков с основным блоком, разместив их рядом для проверки правильного функционирования. Выносной сенсор 1. Установка флю...
Страница 7 - Внутренний датчик; Начальная настройка метеостанции; Материал
RST01937 meteostanciya page 41 Ниже приведена таблица потери приема в сравнении с передающей средой. Каждая «стена» или препятствие уменьшает диапазон передачи по показателю, показанному ниже. Внутренний датчик Снимите крышку батарейного отсека с задней стороны датчика с помощью отвертки (рисунок 11...
Страница 8 - Программный режим; Нормальный режим отображения
page 42 RST01937 meteostanciya Затем станция начнет сканирование сети Wi-Fi, если она не найдет доступный Wi-Fi, на дис- плее отобразится “не найден AP (Access Point)”. Нажмите для возврата в нормальный режим отображения. Только после подключения к сетм Интернет через WI-FI вы можете загружать данны...
Страница 13 - уровень ниже; Кнопка возврата
RST01937 meteostanciya page 47 3.3 Режим графиков изменения данных символ описание Кнопка приближения Кнопка отдаления Кнопка влево Нажмите эту кнопку, чтобы перейти на строку левее Кнопка вправо Нажмите эту кнопку, чтобы перейти на строку правее Выбор файла Нажмите эту кнопку для выбора файла Кнопк...
Страница 22 - ПРИМЕЧАНИЕ
page 56 RST01937 meteostanciya (2) Влажность является трудноизмеряемым параметром электронным датчикоми с течением времени из-за загрязнения. Кроме того, расположение датчика оказывает неблагоприятное влияние на показания влажности (например, установка на грязь или газон). Официальные станции повтор...
Страница 24 - Резервное копирование данных на MINI SD карту
RST01937 meteostanciya page 58 3.4.6 Резервное копирование данных на MINI SD карту Нажмите или для выбора резервного копирования, или для входа в режим резервного копирования: Нажмите или для выбора года файла истории. Подтвердите выбор нажа- тием или . Нажмите или для выбора поля параметров. Убедит...
Страница 25 - Сервер погоды; символ
RST01937 meteostanciya page 59 3.4,7 Языки станции: Английский (по умолчанию), Немецкий, Французский, Итальянский, Испанский, Датский, Китайский Сервер погоды Нажмите или для входа в режим настройки Weather Server, введите идентификатор станции и пароль для загрузки данных. Метеостанция настроена на...
Страница 28 - Программное обеспечение Easy Weather IP
page 62 RST01937 meteostanciya Поиск сетей Wi-Fi Нажмите или для выбора сети Wi-Fi. Нажмите для подтверждения и ввода пароля. Нажмите , чтобы вернуться в нормальный режим. Только после подключения к WLAN вы можете загружать данные на веб-сайт погоды. Если загрузка данных на сервер успешно, значок по...
Страница 29 - сти другие настройки метеостанции.
RST01937 meteostanciya page 63 Откроется основное окно интерфейса программы. Подождите пока Ваша метеостанция определиться в сети автоматически. Ее имя в сети отобразится в нижней части интерфейса. Во вкладке system - setup Вы можете установить нужные Вам единицы измерений и произве- сти другие наст...
Страница 30 - жмите “Update” для обновления информации:
page 64 RST01937 meteostanciya В меню Data Вы можете открыть таблицу минимальных и максимальных значений парамет- ров, выбрав вкладку Max/Min: В меню Data Вы можете открыть таблицу Истории, выбрав вкладку History Data. Открыв ее, установите требуемый Вам временной диапазон измерений, выбирая нужные ...
Страница 32 - Обслуживание и уход; общественной информации.
page 66 RST01937 meteostanciya Вы можете сохранить графики в формате JPG, нажав кнопку Export pictures. Для экспорта данных метеостанции в формате .csv в режиме History нажмите кнопку Export Data. Обслуживание и уход 1. Очищайте датчик дождя один раз каждые 3 месяца. Поверните воронку против часовой...
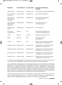
Страница 33 - Спецификация; беспроводная передача данных:
RST01937 meteostanciya page 67 Спецификация беспроводная передача данных: радиочастота 868 МГц радиус приёма 100 м (300 футов) на открытом пространстве атмосферное давление: диапазон 225 мм.Рт.ст ~ 827 мм.Рт.ст (300 гПа ~ 1100 гПа) точность измерения ± 2,26 мм Рт.ст. (в диапазоне 525 - 825 мм.Рт.ст ...