Philips FC6053 - инструкции и руководства
Пылесос Philips FC6053 - инструкции пользователя по применению, эксплуатации и установке на русском языке читайте онлайн в формате pdf
Инструкции:
Инструкция по эксплуатации Philips FC6053
Краткое содержание
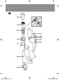
65 Общее описание (рис. 1) A Щелевая насадка B Щетка C Специальная щелевая насадка (только для FC6053) D Выходной фильтр E Входной фильтр F Зарядное устройство G Адаптер H Пылесборник I Кнопка для открывания пылесборника J Отверстия для выхода воздуха K Индикатор зарядки L Переключатель вкл./выкл. M...
Зарядку аккумуляторов пылесоса следует производить при помощи адаптера и зарядного устройства, входящих в комплект поставки. Допускается некоторый нагрев адаптера в процессе зарядки. Всегда отключайте пылесос после использования. Храните прибор в недоступном для детей месте. Напряжение на ленточных ...
Установите пылесос в зарядное устройство. (Рис. 5) Сигнальный индикатор загорится, показывая, что прибор заряжается. (Рис. 6) Примечание.Сигнальный индикатор горит постоянно, пока прибор установлен на зарядное устройство, а адаптер подключен к электросети. Примечание.Сигнальный индикатор не отобража...
Очистка пылесборника Не забывайте регулярно очищать пылесборник и фильтры. 1 Поместив пылесос над емкостью для мусора, нажмите кнопку, открывающую пылесборник. (Рис. 10) Извлеките фильтр из пылесборника. (Рис. 11) 3 Очистите пылесборник свободной рукой. Очистите входные и выходные фильтры. Примечани...
1 Включите пылесос и подождите, пока двигатель не остановится, затем отвинтите винты и откройте пылесос. (Рис. 20) Последовательно перережьте соединительные провода, затем извлеките аккумулятор. (Рис. 21) гарантия и обслуживание Для получения дополнительной информации или в случае возникновения проб...
Philips Пылесосы Инструкции
-
Philips FC 9174/01 Red
Инструкция по эксплуатации
-
Philips FC6048_01
Инструкция по эксплуатации
-
Philips FC6050_03
Инструкция по эксплуатации
-
Philips FC6051
Инструкция по эксплуатации
-
Philips FC6055_01
Инструкция по эксплуатации
-
Philips FC6064
Инструкция по эксплуатации
-
Philips FC6065
Инструкция по эксплуатации
-
Philips FC6067_01
Инструкция по эксплуатации
-
Philips FC6082
Инструкция по эксплуатации
-
Philips FC6091
Инструкция по эксплуатации
-
Philips FC6092
Инструкция по эксплуатации
-
Philips FC6093
Инструкция по эксплуатации
-
Philips FC6094
Инструкция по эксплуатации
-
Philips FC6095
Инструкция по эксплуатации
-
Philips FC6125
Инструкция по эксплуатации
-
Philips FC6130_01
Инструкция по эксплуатации
-
Philips FC6132
Инструкция по эксплуатации
-
Philips FC6140
Инструкция по эксплуатации
-
Philips FC6141
Инструкция по эксплуатации
-
Philips FC6142
Инструкция по эксплуатации