Olympus E-1 - инструкции и руководства
Фотоаппарат Olympus E-1 - инструкции пользователя по применению, эксплуатации и установке на русском языке читайте онлайн в формате pdf
Инструкции:
Инструкция по эксплуатации Olympus E-1
1
2
3
4
5
6
7
8
9
10
11
12
13
14
15
16
17
18
19
20
21
22
23
24
25
26
27
28
29
30
31
32
33
34
35
36
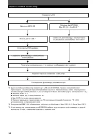
37
38
39
40
41
42
43
44
45
46
47
48
Olympus Фотоаппараты Инструкции
-
Olympus C-1
Инструкция по эксплуатации
-
Olympus C-1 Zoom
Инструкция по эксплуатации
-
Olympus C-100
Инструкция по эксплуатации
-
Olympus C-120
Инструкция по эксплуатации
-
Olympus C-180
Инструкция по эксплуатации
-
Olympus C-2 Zoom
Инструкция по эксплуатации
-
Olympus C-200 Zoom
Инструкция по эксплуатации
-
Olympus C-2040 Zoom
Инструкция по эксплуатации
-
Olympus C-220 Zoom
Инструкция по эксплуатации
-
Olympus C-2500L
Инструкция по эксплуатации
-
Olympus C-3030 Zoom
Инструкция по эксплуатации
-
Olympus C-3040 Zoom
Инструкция по эксплуатации
-
Olympus C-315 Zoom
Инструкция по эксплуатации
-
Olympus C-4040 Zoom
Инструкция по эксплуатации
-
Olympus C-510
Инструкция по эксплуатации
-
Olympus C-520
Инструкция по эксплуатации
-
Olympus C-540 / C-560
Инструкция по эксплуатации
-
Olympus C-550
Инструкция по эксплуатации
-
Olympus C-575
Инструкция по эксплуатации
-
Olympus C-700 Ultra Zoom
Инструкция по эксплуатации