Nikon Coolpix L5 - инструкции и руководства
Фотоаппарат Nikon Coolpix L5 - инструкции пользователя по применению, эксплуатации и установке на русском языке читайте онлайн в формате pdf
Инструкции:
Инструкция по эксплуатации Nikon Coolpix L5
Краткое содержание
ii В веден ие Введение Меры безопасности Перед началом работы с устройством внимательно изучите следующие меры безопасности во избежание получения травм и повреждения изделия Nikon. Всем лицам, использующим данное изделие, следует ознакомиться с инструкциями по безопасности.Возможные последствия нар...
iii Меры безопасности В веден ие Соблюдайте мерыпредосторожности приобращении с батареями Неправильное обращение с батареями может привести к их протеканию или взрыву. Соблюдайте следующие меры предосторожности при использовании батарей с данным изделием. • Перед заменой батарей выключите изделие. Е...
iv Меры безопасности В веден ие • Не прикасайтесь к сетевой вилке или к зарядному устройству мокрыми руками. Несоблюдение этого требования может привести к поражению электрическим током. Используйте прилагаемыекабели При подключении кабелей к входным и выходным разъемам и гнездам фотокамеры использу...
v В веден ие Уведомления Символ для раздельной утилизации, применяемый в европейских странах Данный символ свидетельствует о том, что данное изделие должно утилизироваться отдельно.Следующие замечаниякасаются только пользователейв европейских странах:• Данное изделие предназначено дляраздельной утил...
vi В веден ие Оглавление Введение .......................................................................................................... ii Меры безопасности .......................................................................................... ii ПРЕДУПРЕЖДЕНИЯ ................................
vii В веден ие Выбор сюжетного режима: cюжетный режим b ...................................31 Сюжетный режим ........................................................................................... 31Режимы помощи при съемке сюжетов ......................................................... 32Сюже...
viii В веден ие Подключение к принтеру............................................................................... 64 Подключение фотокамеры к принтеру ................................................. 65Поочередная печать снимков ................................................................ 6...
ix В веден ие Технические примечания ...........................................................................103 Дополнительные принадлежности ............................................................. 103Файл изображения и названия папок ..........................................................
1 В веден ие Об этом руководстве Благодарим вас за приобретение цифровой фотокамеры Nikon COOLPIX L5. Это руководство поможет в полной мере воспользоваться всеми ее преимуществами. Перед применением фотокамеры внимательно прочтите данное руководство и держите его в месте, доступном для всех, кто буд...
2 В веден ие Информация и меры предосторожности Концепция «постоянного совершенствования» В рамках концепции «постоянного совершенствования» корпорации Nikonпользователи могут ознакомиться с постоянно обновляющимися сведениями оподдержке изделий и обучающими материалами, посетив следующие веб-узлы:•...
3 Информация и меры предосторожности В веден ие Уведомление о запрещении копирования или воспроизведения Необходимо помнить, что даже простое обладание материалом, скопированнымили воспроизведенным цифровым способом с помощью сканера, цифровойфотокамеры или другого устройства, может преследоваться п...
4 В веден ие Основные элементы фотокамеры Прикрепление ремня фотокамеры 6.3 -31.4mm 1 : 2 .9 -5 .0 N IK KO R 5X OPTICAL ZO O M 6.3 -31.4mm 1 : 2 .9 -5 .0 N IK KO R 5X OPTICAL ZO O M Индикатор включения питания ( c 12) Динамик ( c 53, 57) Индикатор автоспуска ( c 28) Встроенная вспышка ( c 26) Объект...
6 В веден ие Монитор Во время съемки и просмотра на мониторе могут появляться следующие индикаторы (вид монитора зависит от текущих значений параметров фотокамеры). В режиме съемки +1.0 9 9 9 9 9 9 9 9 ( ) 10 AUTO 89 11 14 15 17 16 18 19 20 1 2 3 4 5 6 7 10 21 22 12 13 1 Режим съемки* ..... 18, 31, ...
7 Монитор В веден ие Просмотр 1 2 : 0 0 1 2 : 0 0 1 0 . 1 0 . 2 0 0 6 1 0 . 1 0 . 2 0 0 6 9 9 9 9 9 9 9 9 / 9 9 9 9 9 9 9 9 100NIKON 100NIKON 9999.JPG 9999.JPG :START START OK 1 2 5 3 6 10 7 4 8 11 9 12 13 14 15 16 17 18 1 Текущая папка ...................... 104 2 Номер и тип файла ............... ...
8 В веден ие Основные операции/Показ справки Переключатель выбора режимов Установите переключатель выбора режимов в нужный режим. Мультиселектор Кроме активации режимов и функций вспышки, макросъемки, автоспуска и поправки экспозиции, мультиселектор также служит для выполнения следующих операций. Ре...
9 Основные операции/Показ справки В веден ие Кнопка MENU При нажатии кнопки m в зависимости от выбранного режима отображаются следующие меню. L : Режим «Авто» → Меню режима съемки ( c 72) b : Сюжетный режим → Меню сюжетного режима ( c 31) T : Режим видео → Меню режима видео ( c 54) A : Режим съемки ...
10 Подготовка к съемк е Подготовка к съемке Установка батарей В фотокамере используются две батареи типа АА. В зависимости от страны или региона продажи в комплект поставки фотокамеры могут входить либо две щелочные батареи, либо зарядное устройство MH-71 с двумя аккумуляторными батареями EN-MH1. За...
12 Установка батарей Подготовка к съемк е Установка батарей 1 Откройте крышку батарейного отсека. • Чтобы батареи не выпали, держите фотокамеру нижней стороной вверх. 2 Установите батареи в фотокамеру. • Установите батареи правильно, как показано справа. 3 Закройте крышку батарейного отсека. Совмест...
13 Установка батарей Подготовка к съемк е j Дополнительные меры предосторожности при использовании батарей • Внимательно ознакомьтесь со всеми мерами предосторожности, приведенными на страницах iii-iv и 106 данного руководства, и неукоснительно следуйте им. • Нельзя одновременно использовать старые ...
14 Подготовка к съемк е Задание языка, времени и даты При первом включении фотокамеры отображается диалоговое окновыбора языка. 1 Включите фотокамеру. • Загорится индикатор включения питания (зеленым цветом), и включится монитор. 2 С помощью кнопок G , H , I и J мультиселектора выберите требуемыйязы...
15 Задание языка, времени и даты Подготовка к съемк е 6 С помощью кнопок G и H измените день ([Д]) (формат отображения даты —день, месяц и год — может бытьразличным) и нажмите кнопку J . 7 С помощью кнопок G и H измените месяц ([М]) и нажмите кнопку J . 8 С помощью кнопок G и H измените год ([Г]), ч...
16 Подготовка к съемк е Установка карточек памяти Снимки сохраняются во внутренней памяти фотокамеры (8 МБ) илина сменных карточках памяти Secure Digital (SD) (приобретаютсядополнительно) ( c 103). Снимки автоматически сохраняются на карточку памяти, если онаустановлена в фотокамере. Операции просмо...
17 Установка карточек памяти Подготовка к съемк е Извлечение карточки памяти Выключите фотокамеру и перед открытием крышки батарейного отсека убедитесь в том, что индикатор включения питания не горит. Чтобы извлечь карточку памяти, слегка нажмите на нее ( ). После извлечения аккуратно вытащите карто...
18 Съемк а и просмотр сним ков: режим L ( авт о) Съемка и просмотр снимков: режим L (авто) Шаг 1. Выберите режим L (авто) и включите фотокамеру В данном разделе содержатся сведения о съемке в режиме L (авто) — автоматическом режиме «навел-и-снял»,рекомендованном для тех, кто в первый раз пользуется ...
19 Шаг 1. Выберите режим L (авто) и включите фотокамеру Съемк а и просмотр сним ков: режим L ( авт о) l Индикаторы в режиме L (авто) l Функции, доступные в режиме автоматической съемки В режиме L можно использовать режим макросъемки ( c 29) и поправку экспозиции ( c 30), а также вспышку ( c 26) и ав...
20 Съемк а и просмотр сним ков: режим L ( авт о) Шаг 2. Компоновка кадра 1 Подготовьте фотокамеру к съемке. • Крепко держите фотокамеру двумя руками, следя за тем, чтобы пальцы или другиепредметы не закрывали объектив, вспышкуили микрофон. • При съемке в вертикальной (портретной) ориентации повернит...
21 Шаг 2. Компоновка кадра Съемк а и просмотр сним ков: режим L ( авт о) j Цифровой зум Из-за использования цифровой обработки при применении цифрового зума наснимках может появиться легкая зернистость. k Подавление вибраций ( K ) Функция подавления вибраций позволяет избежатьсмазывания снимков, воз...
22 Съемк а и просмотр сним ков: режим L ( авт о) Шаг 3. Фокусировка и съемка 1 Нажмите спусковую кнопку затворанаполовину. • Фотокамера сфокусируется на объекте, расположенном в активной зоне фокуса. Поумолчанию фотокамера автоматическивыбирает одну из пяти зон фокуса,содержащую наиболее близкораспо...
23 Шаг 3. Фокусировка и съемка Съемк а и просмотр сним ков: режим L ( авт о) j Во время записи Во время записи снимков отображаются символ y либо мигающие символы M или O . Не выключайте фотокамеру, не извлекайте карточку памяти и не отсоединяйте источник питания, если отображается один из этих знач...
24 Съемк а и просмотр сним ков: режим L ( авт о) Шаг 4. Просмотр и удаление снимков Просмотр снимков: режим полнокадрового просмотра Нажмите кнопку i . • Нажмите кнопку I (или G ) мультиселектора для просмотра снимков в обратном порядке либокнопку J (или H ) для просмотра снимков в порядке их съемки...
25 Шаг 4. Просмотр и удаление снимков Съемк а и просмотр сним ков: режим L ( авт о) k Режим полнокадрового просмотра В режиме полнокадрового просмотра доступны следующие функции. Быстрое увеличение при просмотре Нажмите кнопку d , чтобы увеличить снимок, отображаемый в режиме полнокадрового просмотр...
26 Съемк а и просмотр сним ков: режим L ( авт о) Использование вспышки Меню вспышки помогает пользователю выбрать режим вспышки, соответствующий условиям съемки.При наименьшем увеличении расстояние съемки со вспышкой составляет от 0,5 до 5,5 м. При съемке с максимальным увеличением это расстояние со...
27 Использование вспышки Съемк а и просмотр сним ков: режим L ( авт о) j При слабом освещении Снимая без вспышки ( B ) при слабом освещении, обратите внимание на следующее.• Установите фотокамеру на ровную горизонтальную поверхность. Рекомендуется использование штатива. При съемке со штатива отключи...
28 Съемк а и просмотр сним ков: режим L ( авт о) Съемка с автоспуском Фотокамера оснащена десятисекундным таймером для созданияавтопортретов. При использовании автоспуска рекомендуетсяустановить фотокамеру на штатив или ровную и устойчивую поверхность. 1 Нажмите кнопку H (автоспуск). • Появится меню...
29 Съемк а и просмотр сним ков: режим L ( авт о) Режим макросъемки Режим макросъемки предназначен для съемки объектов нарасстоянии до 4 см. Обратите внимание, что при расстоянии дообъекта менее 50 см вспышка может оказаться не в состоянииосветить объект съемки целиком. В случае срабатывания вспышкип...
30 Съемк а и просмотр сним ков: режим L ( авт о) Поправка экспозиции Поправка экспозиции используется для выбора значенияэкспозиции, отличного от того, которое предлагается фотокамеройпо умолчанию. 1 Нажмите кнопку I (экспозиция). 2 Для настройки экспозиции используйтекнопки G и H мультиселектора. •...
31 Выбо р сюжетного реж има: cюжетный реж им b Выбор сюжетного режима: cюжетный режим b Сюжетный режим Фотокамера предлагает на выбор режимы помощи и сюжетные режимы. В этих режимах настройки фотокамеры автоматически оптимизируются в зависимости от выбранного сюжета. Режимы помощи (четыре типа) Режи...
32 Выбо р сюжетного реж има: cюжетный реж им b Режимы помощи при съемке сюжетов Эти режимы включают функцию помощи при кадрировании, которая позволяет компоновать кадр с помощью кадрирующей разметки, отображаемой на экране. Съемка в режимах помощи 1 Выберите режим b . 2 Нажмите кнопку m для отображе...
33 Режимы помощи при съемке сюжетов Выбо р сюжетного реж има: cюжетный реж им b B Помощь при съемке портретов Этот режим используется для полученияпортретов с четким выделением главногообъекта и смягчением деталей фона. Цветкожи у объектов съемки получается мягким иестественным. B Портрет Фотокамера...
34 Режимы помощи при съемке сюжетов Выбо р сюжетного реж има: cюжетный реж им b E Помощь при съемке пейзажей Используется для получения ярких пейзажей,видов города и при портретной съемке собъектами местности в качестве фона. * При нажатии спусковой кнопки затвора наполовину индикатор фокусировки ( ...
35 Режимы помощи при съемке сюжетов Выбо р сюжетного реж има: cюжетный реж им b P Помощь при съемке спортивных соревнований Используйте этот режим для съемкидинамичных действий, «останавливая»движение на одном снимке или «записывая»его в серии снимков. Кадрирующая разметкане отображается. P Спорт Пр...
36 Режимы помощи при съемке сюжетов Выбо р сюжетного реж има: cюжетный реж им b D Помощь при съемке ночных портретов Используется для создания естественногосоотношения уровней яркости основногообъекта и фона при портретной съемке ввечернее время. Вспомогательные средства вэтом режиме такие же, как и...
37 Выбо р сюжетного реж има: cюжетный реж им b Сюжетные режимы Сюжетная съемка 1 Выберите режим b . 2 Нажмите кнопку m для отображения меню сюжетных режимов. 3 Используйте кнопку G или H мультиселектора для выборатребуемого сюжетного режима, а затемнажмите кнопку d . • Доступно три страницы сюжетных...
38 Сюжетные режимы Выбо р сюжетного реж има: cюжетный реж им b Предусмотрены следующие сюжетные режимы. C Праздник/в пом. Съемка внутри помещения в условиях фонового освещения, например при свечах.• Фотокамера фокусируется на объекте съемки в центре кадра. • Включите функцию подавления вибраций ( c ...
42 Сюжетные режимы Выбо р сюжетного реж има: cюжетный реж им b Получение панорамных снимков ( c 41) Фотокамера фокусируется на объекте, находящемся в центрекадра. Для достижения наилучшего результата используйте штатив. 1 Используйте кнопки G или H мультиселектора для выбора пункта[ F Съемка панорам...
43 Сюжетные режимы Выбо р сюжетного реж има: cюжетный реж им b j Съемка панорамы После съемки первого кадра управление режимом вспышки ( c 26), автоспуском ( c 28), макросъемкой ( c 29) и поправкой экспозиции ( c 30) невозможно. До завершения серии нельзя удалять снимки, изменять зум или размер изоб...
44 Режим съемки п ортрета «в одно на жатие» Режим съемки портрета «в одно нажатие» Съемка фотографий в режиме съемки портрета «в одно нажатие» Чтобы сделать портретные снимки, в автоматическом режиме съемки, в сюжетном режиме или в режиме съемки видеороликов нажмите кнопку m . Автоматически становят...
45 Съемка фотографий в режиме съемки портрета «в одно нажатие» Режим съемки п ортрета «в одно на жатие» j АФ с приоритетом лица • Способность фотокамеры обнаруживать лицо зависит от ряда условий, включая направление взгляда объекта. • Фотокамера будет непрерывно выполнять фокусировку, пока не обнару...
46 Режим съемки п ортрета «в одно на жатие» Меню «Портр. одним наж.» Меню «Портр. одним наж.» содержит параметр размераизображения, а также параметр портрета, который позволяеткорректировать на снимке оттенки цветов. Применение эффекта портрета 1 В режиме съемки портрета «в однонажатие» нажмите кноп...
47 Дополни те льные св едения о про смотре Дополнительные сведения о просмотре Просмотр нескольких снимков: уменьшенные изображения При нажатии кнопки j ( t ) в режиме полнокадрового просмотра ( c 24) снимки отображаются в виде «контактных отпечатков», состоящих из 4, 9 или 16 уменьшенных изображени...
48 Дополни те льные св едения о про смотре Просмотр крупным планом: увеличение при просмотре Используйте кнопку k ( v ) для увеличения неподвижных изображений, отображаемых в режиме полнокадрового просмотра ( c 24). Увеличение при просмотре недоступно, если текущее изображение — видеоролик или копия...
49 Дополни те льные св едения о про смотре Редактирование снимков Создание кадрированных копий: Кадрирование Если разрешено увеличение в режиме просмотра ( c 48) и на экране отображается символ N : u , видимая на экране часть снимка может быть сохранена в отдельном файле. 1 Нажмите кнопку k ( v ) дл...
50 Редактирование снимков Дополни те льные св едения о про смотре Повышение контрастности: D-Lighting Функцию D-Lighting можно использовать для создания копий сповышенными яркостью и контрастностью из снимков, полученных сконтровым освещением или при недостаточном освещениивспышкой. 1 Выведите на мо...
51 Редактирование снимков Дополни те льные св едения о про смотре H Изменение размеров снимка: Уменьшенное изображение Создание уменьшенной копии текущего снимка. Копии хранятся в видефайлов формата JPEG со степенью сжатия 1: 16. Выберите размер из списка. 1 Выведите нужный снимок на монитор врежиме...
52 Редактирование снимков Дополни те льные св едения о про смотре Уменьшенные копии можно узнать по серойрамке и символу I , J или K , отображаемому при просмотре. Ограничения редактирования снимков Ниже указаны ограничения, которые касаются копий, полученных сиспользованием кадрирования ( c 49) и D...
53 Дополни те льные св едения о про смотре Звуковые заметки: Запись и воспроизведение Встроенный микрофон фотокамеры может использоваться для записи звуковых заметок для снимков; эти заметки обозначаются символом N : O (индикатор записи звуковых заметок) в режиме полнокадрового просмотра ( c 24). За...
54 Запи сь и просм отр ви деоро ликов Запись и просмотр видеороликов Режим видео Для съемки видеоролика со звуком, записанным с помощьювстроенного микрофона, выполните следующие действия. 1 Выберите T режим. • Максимальная длина видеоролика, который можно записать, отображается на мониторефотокамеры...
55 Запи сь и просм отр ви деоро ликов Меню видео Параметры видео Меню видео содержит следующие параметры. 1 Все значения носят приблизительный характер. Максимальная продолжительность видеоролика зависит от типа используемой карточки памяти. 2 Для предотвращения неожиданного окончания записи в режим...
56 Меню видео Запи сь и просм отр ви деоро ликов Применение настроек видео 1 Выберите режим T . 2 Нажмите кнопку m . • При этом отобразится меню видео. 3 Используйте кнопки G или H мультиселектора для выбора пункта[Параметры видео] или [Режимавтофокуса], а затем нажмите кнопку d . • На мониторе появ...
57 Запи сь и просм отр ви деоро ликов Просмотр видеоролика В режиме полнокадрового просмотра ( c 24) видеоролики можно узнать по символу S . Для просмотра видеоролика перейдите в режим полнокадрового просмотра и нажмите кнопку d . Используйте кнопку t ( j )/ v ( k ) для настройки громкости при просм...
58 Подклю чени е к телевизор у, комп ью теру ил и прин те ру Подключение к телевизору, компьютеру или принтеру Можно подключить фотокамеру к телевизору, компьютеру или принтеру для просмотра сделанных снимков. Подключение к телевизору ( c 59) Подключение к компьютеру ( c 60) Подключение к принтеру (...
59 Подклю чени е к телевизор у, комп ью теру ил и прин те ру Подключение к телевизору Для просмотра снимков на телевизоре подключите фотокамеру к телевизору при помощи аудио-/видеокабеля. 1 Выключите фотокамеру. 2 Подсоедините аудио/видеокабель. • Подключите желтый разъем к видеовходу телевизора, а ...
60 Подклю чени е к телевизор у, комп ью теру ил и прин те ру Подключение к компьютеру Для копирования (передачи) снимков на компьютер используйте USB- кабель и ПО PictureProject, входящие в комплект поставки фотокамеры. Перед подключением фотокамеры Установка PictureProject Перед передачей снимков и...
61 Подключение к компьютеру Подклю чени е к телевизор у, комп ью теру ил и прин те ру Установка параметра USB Перед подключением фотокамеры к компьютеру или принтеру выберите параметр USB ( c 99) в меню настройки фотокамеры. 1 Нажмите кнопку m . 2 Используйте кнопки G или H мультиселектора для выбор...
62 Подключение к компьютеру Подклю чени е к телевизор у, комп ью теру ил и прин те ру Передача снимков на компьютер 1 Включите компьютер, на который была установлена программа PictureProject. 2 Выключите фотокамеру и подсоедините USB-кабель, как показано на рисунке ниже. 3 Включите фотокамеру. • Есл...
63 Подключение к компьютеру Подклю чени е к телевизор у, комп ью теру ил и прин те ру 5 По завершении передачи отключите фотокамеру. • Если для параметра USB выбрано значение [PTP] Выключите фотокамеру и отсоедините USB-кабель. • Если для параметра USB выбрано значение [Mass storage] Прежде чем выкл...
64 Подклю чени е к телевизор у, комп ью теру ил и прин те ру Подключение к принтеру Для печати снимков без использования компьютера пользователипринтеров, совместимых с PictBridge ( c 117), могут подключать фотокамеру непосредственно к принтеру. Выполните съемку Выберите снимки для печати при помощи...
65 Подключение к принтеру Подклю чени е к телевизор у, комп ью теру ил и прин те ру Подключение фотокамеры к принтеру 1 Установите для параметра ( c 61) USB значение [PTP]. 2 Выключите фотокамеру. 3 Включите принтер. • Проверьте настройки принтера. 4 Подключите USB-кабель, как показано ниже. 5 Включ...
66 Подключение к принтеру Подклю чени е к телевизор у, комп ью теру ил и прин те ру Поочередная печать снимков Если фотокамера правильно подключена к принтеру ( c 65), можно печатать снимки, следуя приведенным ниже инструкциям. 1 С помощью кнопок G , H , I и J мультиселектора выберитеизображение и н...
67 Подключение к принтеру Подклю чени е к телевизор у, комп ью теру ил и прин те ру 5 С помощью кнопок G или H выберите нужный размер бумаги и нажмите кнопку d . • Чтобы указать размер бумаги при помощи настроек принтера, выберите в меню размерабумаги значение [По умолчанию] и нажмитекнопку d . 6 Пр...
70 Подклю чени е к телевизор у, комп ью теру ил и прин те ру Создание задания печати DPOF: задание печати Для создания цифровых заданий печати для устройств или цифровых фотолабораторий, поддерживающих технологию DPOF ( c 117), используется параметр [Задание печати] в меню просмотра. Кроме самих сни...
71 Создание задания печати DPOF: задание печати Подклю чени е к телевизор у, комп ью теру ил и прин те ру 5 Выберите параметры даты и информации о съемке. Выберите параметр с помощью кнопок G и H , а затем нажмите кнопку d , чтобы установить y и включить выбранный параметр. Чтобы снять y , нажмите к...
72 Мен ю съем ки, просмо тр а и на стройки Меню съемки, просмотра и настройки Параметры съемки: меню съемки В меню режима съемки доступны следующие параметры. * См. информацию об ограничениях, которые могут накладываться на параметры [Баланс белого], [Непрерывный], [BSS] и [Параметры цвета] ( c 81)....
74 Параметры съемки: меню съемки Мен ю съем ки, просмо тр а и на стройки k Размер изображения и число оставшихся кадров В таблице указано количество снимков и размер фотоснимков, которые могутхраниться во внутренней памяти и на карточке памяти 256 МБ. * Все значения носят приблизительный характер. Е...
75 Параметры съемки: меню съемки Мен ю съем ки, просмо тр а и на стройки d Баланс белого Настройте баланс белого с учетомиспользуемого источника освещения, чтобыпридать изображению наиболееестественные цвета.Режим [Авто] может использоваться длябольшинства видов освещения, однако,применив настройку ...
76 Параметры съемки: меню съемки Мен ю съем ки, просмо тр а и на стройки f Предустановленный баланс белого Предустановленный баланс белого используется при смешанном освещении или для компенсации влияния источников света, дающих сильные цветовые оттенки (например, снимок, снятый при освещении лампой...
78 Параметры съемки: меню съемки Мен ю съем ки, просмо тр а и на стройки q Непрерывный Данная функция поможет запечатлеть едва уловимые эмоции при портретной съемке. Она незаменима при съемке непредсказуемо движущегося объекта, а также в том случае, если нужно запечатлеть на серии снимков последоват...
79 Параметры съемки: меню съемки Мен ю съем ки, просмо тр а и на стройки A BSS Функцию выбора лучшего кадра (BSS) рекомендуется применять при съемке с отключенной вспышкой или при съемке с большим увеличением, а также в других случаях, когда непроизвольное смещение фотокамеры может привести к смазыв...
80 Параметры съемки: меню съемки Мен ю съем ки, просмо тр а и на стройки k Режим зоны АФ Данный параметр определяет зоны фокусировки фотокамеры. l Блокировка фокуса Фокусировка на удаленных от центра объектах при выборе для [Режим зоны АФ] параметра [Центр]. 1 Поместите объект в центр кадра. 2 Нажми...
81 Параметры съемки: меню съемки Мен ю съем ки, просмо тр а и на стройки Ограничения по настройкам фотокамеры В режиме L существуют ограничения для следующих параметров. Режим вспышки Вспышка отключается при выборе для параметра [Непрерывный] любого значения, кроме значения [Покадровый], а также при...
82 Мен ю съем ки, просмо тр а и на стройки Параметры режима просмотра: меню просмотра В меню просмотра доступны следующие параметры. Отображение меню просмотра Для отображения меню просмотра отобразите снимок, нажавкнопку i , а затем нажмите кнопку m . • Для выбора пунктов меню и принятия изменений ...
83 Параметры режима просмотра: меню просмотра Мен ю съем ки, просмо тр а и на стройки Перемещение по меню Используйте мультиселектор дляперемещения по меню фотокамеры.Для выбора нескольких снимков для заданияпечати ( c 70), удаления ( c 85), защиты от удаления ( c 85), передачи ( c 86), копирования ...
84 Параметры режима просмотра: меню просмотра Мен ю съем ки, просмо тр а и на стройки z Показ слайдов Функция просмотра снимков в режимеавтоматического слайд-шоу с интервалом втри секунды. 1 Используйте кнопку G или H мультиселектора для выделения пункта[Старт], а затем нажмите кнопку d . • Для авто...
85 Параметры режима просмотра: меню просмотра Мен ю съем ки, просмо тр а и на стройки A Удалить Меню удаления содержит следующиепараметры.Если в фотокамере нет карточки памяти,будут удалены снимки, хранящиеся вовнутренней памяти.Если в фотокамеру вставлена карточка памяти, будут удаленыснимки, храня...
86 Параметры режима просмотра: меню просмотра Мен ю съем ки, просмо тр а и на стройки E Метка передачи Если фотокамера подключена к компьютеручерез кабель USB, входящий в комплектпоставки, и для передачи снимков нажатакнопка E ( d ), переданы будут только снимки с символом E ( c 62). По умолчанию вс...
87 Параметры режима просмотра: меню просмотра Мен ю съем ки, просмо тр а и на стройки L Копия Копирование снимков из внутренней памятина карточку памяти и наоборот. Параметры этого меню позволяюткопировать выбранные снимки или всеснимки, хранящиеся во внутренней памятиили на карточке памяти. Дополни...
88 Мен ю съем ки, просмо тр а и на стройки Основные настройки фотокамеры: меню настройки В меню настройки доступны следующие параметры. R Меню c 89 Выбор способа отображения меню. V Экран приветствия c 90 Выбор изображения, которое появляется при включении фотокамеры. W Дата c 91 Установка часов фот...
89 Основные настройки фотокамеры: меню настройки Мен ю съем ки, просмо тр а и на стройки Вызов меню настройки Чтобы открыть меню настройки, выберите пункт [Настройка] в менюсъемки ( c 72), сюжетов ( c 31), видео ( c 55), портрета одним нажатием ( c 46) или просмотра ( c 82) и нажмите кнопку d . • Дл...
90 Основные настройки фотокамеры: меню настройки Мен ю съем ки, просмо тр а и на стройки V Экран приветствия Выбор приветствия, отображаемого привключении фотокамеры. k Когда выбран пункт «Выбрать картинку» Если картинка приветствия уже выбрана, новую можновыбрать с помощью диалогового окна подтверж...
92 Основные настройки фотокамеры: меню настройки Мен ю съем ки, просмо тр а и на стройки 4 При помощи кнопок I и J выберите часовой пояс места назначения во времяпутешествия и нажмите кнопку d . • Это активизирует настройку. 5 Нажмите кнопку m . • Фотокамера снова перейдет в режим съемки или просмот...
93 Основные настройки фотокамеры: меню настройки Мен ю съем ки, просмо тр а и на стройки l Часовые пояса Список часовых поясов, поддерживаемых фотокамерой, приводится ниже.Разница во времени меньше часа не поддерживается. При посещении стран, времяв которых отличается от всемирного (по Гринвичу — GM...
94 Основные настройки фотокамеры: меню настройки Мен ю съем ки, просмо тр а и на стройки Z Настройка монитора Доступны следующие параметры. Информация о фото Доступны следующие параметры. k Информация о фото Сведения об индикаторах, появляющихся на мониторе, см. в разделе «Монитор» ( c 6). Информаци...
95 Основные настройки фотокамеры: меню настройки Мен ю съем ки, просмо тр а и на стройки f Впечатывание даты Дата и время съемки могут быть впечатанына снимке, что позволяет напечатать этисведения на принтерах, не совместимых сDPOF ( c 117). Во время съемки все выбранные параметры, кроме параметра[В...
96 Основные настройки фотокамеры: меню настройки Мен ю съем ки, просмо тр а и на стройки Счетчик даты На снимках, сделанных с включенным счетчиком даты,впечатывается число дней, прошедших от указанной даты илиоставшихся до указанной даты. Благодаря этой функции можнонаглядно проследить за тем, как р...
98 Основные настройки фотокамеры: меню настройки Мен ю съем ки, просмо тр а и на стройки M Форматир. памяти/ O Форматир. карты Данная функция используется для форматирования внутреннейпамяти или карточки памяти. Форматирование внутренней памяти Чтобы отформатировать внутреннюю память,извлеките карто...
99 Основные настройки фотокамеры: меню настройки Мен ю съем ки, просмо тр а и на стройки j Язык/Language Можно выбрать один из двадцати языков дляотображения меню и сообщений фотокамеры. k Интерфейс Настройка параметров подключения ккомпьютеру или видеоустройству. Чешский Польский Датский Португальс...
100 Основные настройки фотокамеры: меню настройки Мен ю съем ки, просмо тр а и на стройки n Сброс всех знач. Эта команда восстанавливает значения поумолчанию для следующих параметров. Основы фотосъемки Сюжетный режим Портрет одним нажатием Меню видео Меню съемки Подавление вибраций ( c 21) b (Нормал...
101 Основные настройки фотокамеры: меню настройки Мен ю съем ки, просмо тр а и на стройки Меню настройки Прочее • Выбор команды [Да] также приводит к сбросу текущего номера файла ( c 104) в памяти. Нумерация продолжится начиная с наименьшего доступного номера. Для сброса нумерации файлов кзначению «...
102 Основные настройки фотокамеры: меню настройки Мен ю съем ки, просмо тр а и на стройки g Тип батарей Чтобы фотокамера правильно отображалауровень заряда батарей ( c 18), убедитесь, что выбранный тип батарей соответствуетиспользуемым батареям. B Версия прошивки Просмотр текущей версии прошивкифото...
103 Техни ческие приме чания Технические примечания Дополнительные принадлежности Рекомендованные карточки памяти С фотокамерой COOLPIX L5 рекомендуется использоватьследующие проверенные и рекомендованные карточки памяти: * Карточки со скоростью записи/чтения 10 МБ/с (высокая скорость). Карточки пам...
104 Техни ческие приме чания Файл изображения и названия папок Имена файлов, назначаемые снимкам, видеороликам и звуковымзаметкам, состоят из трех частей: четырехбуквенныйидентификатор, четырехзначный номер файла, присваиваемыйфотокамерой автоматически в порядке возрастания, итрехбуквенное расширени...
105 Техни ческие приме чания Уход за фотокамерой Чтобы обеспечить длительный срок службы цифровой фотокамеры Nikon, необходимо соблюдать следующие меры предосторожности при ее хранении и использовании. j Осторожно обращайтесь с объективом и подвижными частями фотокамеры Не прилагайте чрезмерных усил...
106 Уход за фотокамерой Техни ческие приме чания k Батареи • Перед использованием фотокамеры проверьте уровень заряда батареи и при необходимости замените ее ( c 18). При съемке важных событий желательно иметь запасной комплект батарей. • При пониженной температуре окружающей среды емкость батарей м...
107 Уход за фотокамерой Техни ческие приме чания Хранение Следует выключать фотокамеру, если она не используется.Убедитесь, что индикатор работы фотокамеры не горит, перед темкак убрать ее на хранение. Извлекайте батареи, если непредполагается использовать фотокамеру в течение длительноговремени. Не...
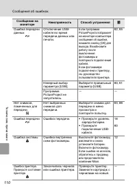
108 Техни ческие приме чания Сообщения об ошибках В следующей таблице приведены сообщения об ошибках и предупреждения, отображаемые на мониторе, а также указаны меры, которые следует предпринять при их появлении. Сообщение на мониторе Неисправность Способ устранения c S (мигает) Не установлены часы ...
109 Сообщения об ошибках Техни ческие приме чания Снимок нельзя сохранить M или O Произошла ошибка во время записи снимка. Отформатируйте карточку памяти или внутреннюю память. 98 Закончились свободные номера файлов. • Вставьте новую карточку памяти. • Отформатируйте карточку памяти или внутреннюю п...
110 Сообщения об ошибках Техни ческие приме чания Ошибка передачи данных E Отключение USB-кабеля во время передачи данных или печати. Если программа PictureProject отображает на мониторе компьютера сообщение об ошибке, нажмите кнопку [OK] для выхода. Возобновите работу после выключения фотокамеры и ...
111 Техни ческие приме чания Устранение неисправностей Если фотокамера не работает в соответствии с описанием, преждечем обращаться к продавцу или представителю компании Nikon,просмотрите приведенный ниже перечень распространенныхнеисправностей. Более подробную информацию можно найти настраницах, но...
115 Техни ческие приме чания Технические характеристики Цифровая фотокамера Nikon COOLPIX L5 Тип Компактная цифровая фотокамера Число эффективных пикселей 7,2 миллиона Матрица ПЗС Матрица ПЗС 1/2,5 дюйма, общее число пикселей: 7,41 миллиона Размер изображения (в пикселях) • 3.072 × 2.304 [Большой (3...
117 Технические характеристики Техни ческие приме чания Если не оговорено иное, все значения приведены для фотокамеры с полностью заряженной аккумуляторной батареей EN-MH1, работающей при температуре окружающей среды 25 °C. Поддерживаемые стандарты • DCF . Формат Design Rule for Camera File System (...
118 Техни ческие приме чания Индекс Обозначения t ( j ), кнопка 20 , 29 j ( t ), кнопка 47 , 48 , 49 v ( k ), кнопка 20 , 29 k ( v ), кнопка 47 , 48 , 49 v ( l ), кнопка 9 m , кнопка 5 , 9 , 89 d кнопка 5 , 8 J (вспышка), кнопка 5 , 26 H (автоспуск), кнопка 5 , 28 L (макросъемка), кнопка 5 , 29 I (п...
Nikon Фотоаппараты Инструкции
-
Nikon 1 J1 BK KIT 10-30MM VR
Инструкция по эксплуатации
-
Nikon 1 J1 RD KIT 10-30MM VR
Инструкция по эксплуатации
-
Nikon 1 J1 WH Kit 10-30mm VR
Инструкция по эксплуатации
-
Nikon 1 S1 Kit 11-27.5 mm White
Инструкция по эксплуатации
-
Nikon Coolpix 2200
Инструкция по эксплуатации
-
Nikon Coolpix 3200
Инструкция по эксплуатации
-
Nikon Coolpix 3500
Инструкция по эксплуатации
-
Nikon Coolpix 4100
Инструкция по эксплуатации
-
Nikon Coolpix 4300
Инструкция по эксплуатации
-
Nikon Coolpix 4500
Инструкция по эксплуатации
-
Nikon Coolpix 5100
Инструкция по эксплуатации
-
Nikon Coolpix 5400
Инструкция по эксплуатации
-
Nikon Coolpix 5700
Инструкция по эксплуатации
-
Nikon Coolpix 990
Инструкция по эксплуатации
-
Nikon Coolpix 995
Инструкция по эксплуатации
-
Nikon Coolpix A1000
Инструкция по эксплуатации
-
Nikon Coolpix A900
Инструкция по эксплуатации
-
Nikon Coolpix B500
Инструкция по эксплуатации
-
Nikon Coolpix B600
Инструкция по эксплуатации
-
Nikon Coolpix B700
Инструкция по эксплуатации