Lexmark MS610dn (35S0430) - инструкции и руководства
Принтер Lexmark MS610dn (35S0430) - инструкции пользователя по применению, эксплуатации и установке на русском языке читайте онлайн в формате pdf
Инструкции:
Инструкция по эксплуатации Lexmark MS610dn (35S0430)
Краткое содержание
Содержимое Информация по технике безопасности .......................................... 5 Условные обозначения .............................................................................................................5 Общие сведения .................................................................
Информация по технике безопасности Условные обозначения Примечание : В примечаниях приводятся важные для пользователя сведения . Предупреждение : Предупреждения указывают на опасность повреждения аппаратного или программного обеспечения устройства . ВНИМАНИЕ : Надписи Внимание указывает на возникнов...
ВНИМАНИЕ – ВОЗМОЖНОСТЬ ТРАВМЫ ! При перемещении принтера , действуйте в соответствии с данными рекомендациями во избежание травм или повреждения принтера : • Все дверцы и лотки должны быть закрыты . • Выключите принтер , а затем отсоедините кабель питания от розетки . • Отсоедините от принтера все к...
Общие сведения Использование данного руководства В Руководстве пользователя представлена общая и специальная информация по использованию моделей принтера , указанных на титульной странице . Следующие главы содержат информацию , которая относится ко всем принтерам . • Сведения по технике безопасности...
Какую информацию требуется найти ? Рекомендации по поиску Дополнительные инструкции по установке и указания по использо - ванию принтера : • Выбор и хранение бумаги и специальной бумаги • Загрузка бумаги • Настройка параметров принтера • Просмотр и печать документов и фотографий • Установка и исполь...
Выбор местоположения принтера При выборе места для принтера , оставьте достаточное пространство для открывания лотков , крышек и дверец . Если планируется установить дополнительные устройства , предусмотрите также место и для них . Важно обеспечить выполнение следующих условий . • Установите принтер...
Дополнительная настройка принтера Установка внутренних дополнительных устройств ВНИМАНИЕ – ОПАСНОСТЬ ПОРАЖЕНИЯ ЭЛЕКТРИЧЕСКИМ ТОКОМ ! При доступе к плате контроллера или установке дополнительного оборудования или устройств памяти после настройки принтера , прежде чем продолжить , выключите принтер и ...
4 Вставьте плату памяти прямо в разъем , а затем протолкните ее в отсек платы контроллера до щелчка . 1 2 5 Работая с моделями принтеров MS510dn, MS517dn, MS610dn и MS617dn, закройте дверцу доступа к плате контроллера . Работая с моделью MS610de, закройте защитный чехол платы контроллера , а затем з...
1 2 4 3 5 6 1 Решение ISP 2 Затяните винты , чтобы прикрепить ISP к вкладышу . 3 Внешняя крышка ISP. 4 Затяните винты , чтобы прикрепить металлический держатель ISP к плате принтера . 5 Пластиковый вкладыш 6 Длинный кабель ISP 4 Поместите пластиковый вкладыш внутрь внешней крышки ISP до щелчка . 5 С...
12 Откройте защитный чехол , воспользовавшись зеленой рукояткой . 13 Вставьте синий разъем интерфейсного кабеля решения ISP в синее гнездо на плате контроллера . Примечание : Если установлен жесткий диск принтера , его необходимо удалить . Для получения дополнительных сведений см . раздел “ Извлечен...
в Затяните два винта . г Вставьте разъем интерфейсного кабеля принтера в гнездо на плате контроллера . Примечание : Разъемы и гнезда имеют цветовую кодировку - синюю . 4 Закройте защитный чехол платы контроллера и закройте дверцу для доступа к плате . Примечание : После установки программного обеспе...
Предупреждение – Риск повреждения ! Электронные компоненты платы контроллера быстро выходят из строя под воздействием статического электричества . Перед тем как прикоснуться к какому - либо электронному компоненту платы контроллера или разъему , дотроньтесь рукой до какой - нибудь металлической дета...
1 2 8 Подсоедините кабель питания к принтеру , затем к электрической розетке с правильным заземлением и включите принтер . 1 2 Примечание : После установки программного обеспечения принтера и всех дополнительных аппаратных устройств , возможно , потребуется вручную добавить дополнительные устройства...
Установка ПО принтера Установка программного обеспечения принтера 1 Получите копию установочного пакета программы . • С компакт - диска с программным обеспечением из комплекта поставки принтера . • Перейдите на веб - сайт http://support.lexmark.com , затем выберите вашу модель принтера и операционну...
Сеть Примечания . • Приобретите адаптер беспроводной сети <trademark registered="yes">MarkNet</trademark> N8352 перед тем , как настраивать принтер для работы в беспроводной сети . Для получения дополнительных сведений об установке адаптера беспроводной сети см . прилагаемые к не...
Параметр Чтобы Найти сети Показать доступные беспроводные соединения . Примечание : Этот элемент меню показывает передаваемые защищенные или незащищенные имена SSID. Введите имя сети Выберите имя сети SSID вручную . Примечание : Убедитесь в правильности ввода имени SSID. Настройка защищенной Wi-Fi П...
Использование MS510dn, MS517dn, MS610dn и MS617dn Информация о принтере Конфигурации принтера ВНИМАНИЕ – ВОЗМОЖНОСТЬ ТРАВМЫ ! Для уменьшения риска нестабильной работы оборудования загружайте каждый лоток отдельно . Остальные лотки держите закрытыми до тех пор , пока они не понадобятся . Использовани...
Подключение кабелей Подключите принтер к компьютеру с помощью кабеля USB либо параллельного кабеля или подключите его к сети с помощью кабеля Ethernet. Убедитесь в совпадении следующего . • Символа USB на кабеле с символом USB на принтере • Соответствующий параллельный кабель параллельным портом • С...
1 Разъем модулей памяти 2 Разъем дополнительных плат Загрузка бумаги и специальных материалов для печати Надежность печати документов зависит от выбора бумаги и специальных материалов для печати , а также от обращения с ними . Подробнее см . “ Предотвращение замятия материалов для печати ” на стр . ...
3 Сожмите , а затем передвиньте направляющую длины в положение , соответствующее формату загружаемой бумаги . A4 LTR EXEC B5 A5 LTR LGL A4 EXEC B5 A5 A6 2 1 Примечания . • Для некоторых форматов бумаги , таких как letter, legal и A4, сожмите и передвиньте направляющую назад , чтобы бумага уместилась...
6 Вставьте лоток . 1 7 В меню « Бумага » на панели управления принтера задайте тип и формат бумаги в соответствии с загруженной в лоток бумагой . Примечание : Укажите правильный формат и тип бумаги , чтобы избежать замятий бумаги и неполадок , связанных с качеством печати . Загрузка многоцелевого ус...
3 Измените формат бумаги и настройки типа бумаги для связанных лотков . • Для связанных лотков убедитесь в том , что формат и тип бумаги одного лотка соответствуют другому лотку . • Чтобы отменить связывание лотков , убедитесь в том , что формат и тип бумаги одного лотка не соответствует параметрам ...
Примечания . • В разделе TCP/IP меню « Сеть / Порты » проверьте IP- адрес принтера . IP- адрес отображается в виде четырех наборов цифр , разделенных точками , например 123.123.123.123. • Если используется прокси - сервер , временно отключите его , чтобы обеспечить правильную загрузку веб - страницы...
• Если используется прокси - сервер , временно отключите его , чтобы обеспечить правильную загрузку веб - страницы . 2 Выберите Параметры > Параметры печати > Меню « Качество » > Плотность тонера . 3 Отрегулируйте плотность тонера , а затем щелкните Отправить . Использование панели управлен...
Печать с мобильного устройства с помощью AirPrint AirPrint – это решение мобильной печати , которое позволяет выполнять печать непосредственно с устройства с Apple на любом принтере с поддержкой AirPrint. Примечания . • Это приложение совместимо только с некоторыми устройствами Apple. • Это приложен...
Печать с флэш - накопителя Печать с флэш - накопителя Примечания . • Перед печатью зашифрованного файла PDF появится запрос на ввод пароля данного файлас панели управления . • Пользователь не может выполнять печать файлов , на печать которых он не обладает полномочиями . 1 Вставьте флэш - накопитель...
2 На панели управления принтера выберите документ для печати . 3 С помощью кнопок со стрелками влево и вправо укажите число копий , которое требуется распечатать , а затем нажмите кнопку . Примечания . • Не извлекайте флэш - накопитель из USB- порта до окончания печати документа . • Если после выход...
Печать конфиденциальных и других отложенных заданий Хранение заданий печати в принтере 1 На панели управления принтера выберите : > Безопасность > Конфиденциальная печать 2 Выберите тип задания печати . Параметр Чтобы Истечение срока действия конфиден - циального задания Позволяет задерживать ...
4 Если необходимо , присвойте имя пользователя . 5 Отправьте задание на печать . 6 На начальном экране принтера выберите Отложенные задания . 7 Отправьте задание на печать . Печать информационных страниц Печать списка образцов шрифтов 1 На панели управления принтера выберите : > Параметры > &g...
Управление принтером Поиск расширенной информации о сети и данных для администратора В этой главе описаны основные задачи администратора по поддержке с использованием Embedded Web Server. Для получения сведений о дополнительных задачах по поддержке системы см . Руководство по работе в сети на компак...
• Если используется прокси - сервер , временно отключите его , чтобы обеспечить правильную загрузку веб - страницы . 2 Щелкните Параметры > Параметры печати > Уведомления о расходных материалах . 3 В раскрывающемся списке каждого расходного материала выберите один из следующих вариантов уведом...
3 Нажмите Гибернация > . Настройка времени ожидания гибернации Параметр « Время ожидания гибернации » позволяет задать промежуток времени , по истечении которого принтер после обработки задания переходит в состояние пониженного энергопотребления . Использование Embedded Web Server 1 Откройте веб ...
• Если используется прокси - сервер , временно отключите его , чтобы обеспечить правильную загрузку веб - страницы . 2 Выберите Параметры > Общие параметры > Планирование режимов питания . 3 В меню « Действие » выберите режим питания . 4 В меню « Время » выберите время . 5 В меню « Дни » выбер...
Очистка энергонезависимой памяти Удалите индивидуальные настройки , настройки устройства и сети , параметры безопасности и встроенные решения , выполнив следующие действия : 1 Выключите принтер . 2 Нажмите и удерживайте клавиши 2 и 6 на клавиатуре при включении принтера . Отпустите кнопки только при...
Использование MS610de Информация о принтере Конфигурации принтера ВНИМАНИЕ – ВОЗМОЖНОСТЬ ТРАВМЫ ! Для уменьшения риска нестабильной работы оборудования загружайте каждый лоток отдельно . Остальные лотки держите закрытыми до тех пор , пока они не понадобятся . Основные и настроенные модели 1 2 3 5 6 ...
Нажмите Чтобы 6 Строка сообщений о состоянии • Отображение текущего состояния принтера , например Готов или Занят . • Отображение состояния принтера , например Заканчивается форми - рователь изображения или Низкий уровень тонера в картридже . • Отображение сообщений о необходимости вмешательства пол...
1 2 3 4 5 Нажмите значок Чтобы 1 Переключатель Выбор или отмена выбора элемента . 2 Стрелка вверх Прокрутка вверх . 3 Стрелка вниз Прокрутка вниз . 4 Кнопка принятия Сохранение параметра . 5 кнопка " Отмена " • Отмена действия или выбора . • Возврат к предыдущему экрану . Нажмите Чтобы Возвр...
Установка и использование приложений начального экрана Примечания . • Ваш начальный экран может отличаться в зависимости от параметров настройки экрана , административной настройки и активных встроенных приложений . Некоторые приложения поддерживаются только определенными моделями принтеров . • В пр...
Примечание : IP- адрес отображается в виде четырех наборов цифр , разделенных точками , например 123.123.123.123 . 2 Откройте веб - браузер и в поле адреса введите IP- адрес принтера . 3 Нажмите клавишу Enter . Примечание : Если используется прокси - сервер , временно отключите его , чтобы обеспечит...
Использование фона и экрана ожидания Значок Описание Приложение дает возможность настраивать экран ожидания и фон начального экрана принтера . 1 На начальном экране выберите : Изменить фон > выберите фон для использования 2 Нажмите кнопку . Настойка форм и избранного Примечание : Последняя версия...
Для использования приложения коснитесь Формы и избранное на начальном экране принтера , затем просмотрите категории или выполните поиск форм по номеру формы , имени или описанию . Объяснение параметров экономичного режима Значок Описание Приложение дает возможность легко управлять потреблением энерг...
Примечания . – При сохранении файла конфигурации можно ввести уникальное имя файла или использовать имя по умолчанию . – В случае возникновения ошибки Переполнение памяти JVM повторяйте операцию экспорта , пока не будет сохранен файл параметров . • Чтобы импортировать конфигурацию из файла , щелкнит...
Назначение пользовательского типа бумаги Использование встроенного веб - сервера При связывании или отмене связывания лотков назначьте имя для пользовательского типа бумаги . 1 Откройте веб - браузер и в поле адреса введите IP- адрес принтера . Примечания . • IP- адрес принтера указан на начальном э...
Печать с мобильного устройства с помощью службы Виртуальный принтер Google Google Cloud Print ( Виртуальный принтер Google) – это служба мобильной печати , с помощью которой можно выполнять печать с мобильных устройств ( из совместимых приложений ) на любом принтере с поддержкой службы Виртуальный п...
2 На панели управления принтера выберите документ для печати . 3 С помощью стрелок задайте количество копий , которые необходимо распечатать , а затем нажмите Печать . Примечания . • Не извлекайте флэш - накопитель из USB- порта до окончания печати документа . • Если после выхода из экрана меню USB ...
Управление принтером Настройка печати через последовательный интерфейс ( только в ОС Windows) 1 Настройте параметры на принтере : а На панели управления перейдите в меню с параметрами порта . б Найдите меню с параметрами последовательного порта , и при необходимости , настройте параметры . в Примени...
• Если используется прокси - сервер , временно отключите его , чтобы обеспечить правильную загрузку веб - страницы . 2 Щелкните Параметры > Безопасность > Шифрование диска . Примечание : Параметр " Шифрование диска " отображается в меню " Безопасность " только в том случае , ес...
Советы по печати на прозрачных пленках • Перед закупкой больших партий прозрачных пленок обязательно выполните пробную печать на этих прозрачных пленках . • Подача прозрачных пленок может выполняться из стандартного лотка или многоцелевого устройства подачи . • Печатайте на прозрачных пленках , спец...
Гладкость Степень гладкости бумаги напрямую влияет на качество печати . Если бумага слишком грубая , тонер может не закрепляться на ней . Если бумага слишком гладкая , возможны проблемы с подачей бумаги или качество печати . Используйте бумагу с гладкостью в диапазоне от 100 до 300 пунктов по Шеффил...
Компания Lexmark постоянно проводит тестирование своих принтеров с использованием бумаги , изготовленной из вторсырья ( при производстве которой сырье на 20-100% состоит из переработанных бытовых отходов ), а также другими видами бумаги , применяемой в мире , при различной температуре и влажности в ...
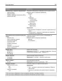
Структура меню Список меню Меню " Бумага " Отчеты Сеть / Порты Устройство подачи по умолчанию Формат и тип бумаги Настройка МУП Замена форматов Фактура бумаги Плотность бумаги загрузка бумаги Пользовательские типы Пользовательские имена 1 Настройка формата Universal Страница настроек меню Ст...
Параметр Чтобы Фактура пользовательского типа [x] ГладкаяСтандартнаяШероховатая Указание относительной фактуры загруженной бумаги пользователь - ского типа . Примечания . • Заводской настройкой по умолчанию является значение « Стандартная ». • Этот параметр доступен только в случае , если данный пол...
Параметр Чтобы Книжная - Высота 3-14,17 дюйма 76-360 мм Задает высоту для книжной ориентации . Примечания . • Если высота превышает максимальное значение , принтер использует макси - мально допустимую высоту . • 14 дюймов - заводская настройка по умолчанию для США . Высоту можно увели - чивать с при...
Параметр Использование Страницы - разделители Выкл . Между копиями Между заданиями Между страницами Указывает на то , требуется ли вставлять страницы - разделители . Примечания . • Заводской настройкой по умолчанию является значение « Выкл ». В задание печати не включены страницы - разделители . • Н...
Экономия денег с заботой об окружающей среде Экономия бумаги и тонера Как показывают исследования , примерно 80% углекислого газа , выбрасываемого в атмосферу в результате использования принтера , связано с использованием бумаги . Можно существенно уменьшить уровень выброса углекислого газа благодар...
Обслуживание принтера Предупреждение – Риск повреждения ! Несоблюдение условий для поддержки оптимальной производительности принтера или несвоевременная замена деталей и расходных материалов может привести к повреждению принтера . Чистка принтера ВНИМАНИЕ – ОПАСНОСТЬ ПОРАЖЕНИЯ ЭЛЕКТРИЧЕСКИМ ТОКОМ ! ...
Заказ компонентов и расходных материалов Для заказа расходных материалов в США получите информацию о ближайших уполномоченных дилерах Lexmark по телефону 1-800-539-6275. В других странах и регионах перейдите по адресу www.lexmark.com или обратитесь по месту приобретения принтера . Использование подл...
Заказ блока формирования изображения Печать с очень малой областью покрытия в течение продолжительного времени может стать причиной выхода из строя деталей блока формирования изображений раньше , чем закончится тонер в картридже . Для получения дополнительных сведений о замене блока формирования изо...
7 Установите картридж с тонером в принтер , совместив стрелки на боковых направляющих картриджа со стрелками на боковых направляющих внутри принтера . 8 Закройте переднюю дверцу . Перемещение принтера Перемещение принтера ВНИМАНИЕ – ВОЗМОЖНОСТЬ ТРАВМЫ ! Принтер весит более 18 кг (40 фунтов ), для ег...
Устранение замятий Предотвращение замятия материалов для печати Загрузка бумагу надлежащим образом • Убедитесь в том , что бумага лежит ровно в лотке . Правильная загрузка бумаги Неправильная загрузка бумаги 1 1 • Не загружайте и не извлекайте лотки во время печати . • Не загружайте слишком много бу...
Местоположение замятия 6 Задняя дверца Замятие бумаги в передней дверце ВНИМАНИЕ – ГОРЯЧАЯ ПОВЕРХНОСТЬ ! Внутренние детали принтера могут сильно нагреваться . Для снижения вероятности травмы , вызванной прикосновением к горячей поверхности , подождите , пока поверхность остынет . 1 Откройте переднюю...
Поиск и устранение неисправностей Значение сообщений принтера Несоответствие картриджа и копи - картриджа [41.xy] 1 Проверьте , являются ли картридж с тонером и копи - картридж одобренными Lexmark расходными материалами MICR (magnetic ink character recognition) или не являются таковыми . 2 Замените ...
Примечания . • Все данные , поступающие на принтер через порт USB, игнорируются . • Убедитесь в том , что в меню « Буфер USB» не выбрано значение « Отключен ». 58 Слишком много модулей флэш - памяти [58] 1 Выключите принтер . 2 Отсоедините кабель питания от розетки электросети . 3 Извлеките лишние м...
Сервер Weblink не настроен . Обратитесь к системному администратору . Выберите Продолжить , чтобы закрыть сообщение . Для моделей принтеров без сенсорного дисплея нажмите для подтверждения . Примечание : В случае повторного появления сообщения обратитесь к системному администратору . Устранение непо...
Действия Да Нет Шаг 10 Проверьте , чтобы были выбраны правильные настройки порта в драйвере принтера . Настройки порта правильные ? Перейти к шагу 11. Используйтеправильныенастройки драйвера принтера . Шаг 11 Проверьте установленный драйвер принтера . Установлен правильный драйвер принтера ? Перейти...
Неполадки при подаче бумаги Частые замятия бумаги Действия Да Нет Шаг 1 а Выдвиньте лоток и выполните одно из следующих действий . • Убедитесь в том , что бумага лежит ровно в лотке . • Проверьте , чтобы направляющие для бумаги соответ - ствовали индикаторам размера бумаги на лотке . • Убедитесь в т...
После извлечения замятой бумаги продолжает отображаться сообщение о замятии бумаги Действия Да Нет а Выполните одно из следующий действий . • При использовании принтера с сенсорным экраном нажмите или Готово . • При использовании принтеров без сенсорного экрана нажмите Далее > > Устраните замя...
Назначение Да Нет Шаг 1 Загрузите в лоток бумагу соответствующего типа и плотности . Бумага соответствующего типа и плотности загружена в лоток ? Перейти к шагу 2. Загрузите в лоток бумагу соответ - ствующего типа и плотности . Шаг 2 В меню « Бумага » на панели управления принтера задайте тип и плот...
Назначение Да Нет Шаг 2 Повторно установите формирователь изображения , а затем картридж с тонером . а Извлеките картридж с тонером . б Извлеките формирователь изображения . Предупреждение – Риск повреждения ! Не оставляйте формирователь изображения под воздействием света дольше 10 минут . Длительно...
Назначение Да Нет Шаг 4 а Извлеките бумагу с лотка и переверните ее другой стороной вверх . б Повторно отправьте задание на печать . По - прежнему происходит скручивание бумаги ? Перейти к шагу 5. Неполадкаустранена . Шаг 5 а Загрузите бумагу из новой пачки . Примечание : Бумага может отсыреть вслед...
Действия Да Нет Шаг 1 Измерьте расстояние между дефектами . Проверьте , составляет ли расстояние между дефектами : • 97 мм (3,82 дюйма ) • 47 мм (1,85 дюйма ) • 38 мм (1,5 дюйма ) Равно ли расстояние между дефектами одной из вышеперечис - ленных величин ? Перейти к шагу 2. 1 Проверьте , составляет л...
На распечатываемых изображениях появляются пятна тонера . Назначение Да Нет Замените формирователь изображения и повторно отправьте задание на печать . На распечатываемых изображениях появляются пятна тонера ? Обратитесь в техни - ческая поддержка . Неполадкаустранена . На распечатываемых изображени...
Назначение Да Нет Шаг 1 В меню панели управления принтера « Бумага » проверьте тип , фактуру и плотность бумаги . Соответствуют ли параметры типа , фактуры и плотности бумаге , загруженной в лоток ? Перейти к шагу 2. В параметрах лотка укажите тип , фактуру и плотность бумаги , которые соответствуют...
Действия Да Нет Шаг 5 Временно отключите прокси - серверы . Прокси - сервера могут блокировать или ограничивать доступ к некоторым веб - узлам , включая встроенный веб - сервер . Встроенный веб - сервер открыт ? Неполадкаустранена . Обратитесь к специалисту по обслуживаниюсистемы . Обращение в служб...
Уведомления Информация по продукту Наименование устройства : Lexmark MS510dn, MS517dn, MS610de, MS610dn, MS617dn Тип устройства : 4514 Модели : 630, 635, 646 Уведомление о редакции Июнь 2017 г . Следующий пункт не относится к тем странам , где подобное условие противоречит местному законодательству ...
Marigold Arthur Baker Monaco Apple Computer, Inc. New York Apple Computer, Inc. Oxford Arthur Baker Palatino Компания Linotype-Hell AG и / или ее дочерние компании Stempel Garamond Компания Linotype-Hell AG и / или ее дочерние компании Taffy Корпорация Agfa Times New Roman The Monotype Corporation p...
Для получения дополнительной информации о способах утилизации перейдите на web- узел корпорации Lexmark по адресу www.lexmark.com и уточните номер телефона ближайшего коммерческого представительства . India E-Waste notice This product complies with the India E-Waste (Management and Handling) Rules, ...
Информация о температуре Рабочая температура окружающей среды от 15,6 до 32,2 °C ( от 60 до 90 °F) Температура перевозки от -40 до 43,3 °C ( от -40 до 110 °F) Температура хранения и относительная влажность от 1 до 35 °C ( от 34 до 95 °F) 8—80 % отн . влажности Уведомление о лазерном излучении Принте...
Потребляемая мощность Потребление энергии устройством В следующей таблице приведены характеристики потребляемой мощности устройства . Примечание : Некоторые режимы могут отсутствовать на устройстве . Режим Описание Потребляемая мощность ( Вт ) Выполняется печать Устройство создает печатный документ ...
Режим гибернации Это устройство может работать в режиме с самым низким энергопотреблением , который называется Режим гибернации . При работе в режиме гибернации все системы и устройства безопасно переводятся в режим минимального энергопотребления . В режим гибернации можно перейти любым из описанных...
Указатель [ [ Тип расходного материала ] не Lexmark, см . Руководство пользователя [33.xy] 202 A AirPrint использование 54, 95 E Embedded Web Server доступ 77 изменение параметров конфиденциальнойпечати 60, 102 копирование параметров на другие принтеры 61, 103 настройка яркости 66 настройки админист...
добавление встроенных модулей драйвер печати 29 документы , печать печать с мобильного устройства 54 с компьютера 52, 94 дополнительная карточка установка 12 дополнительные устройства жесткий диск принтера , извлечение 25 жесткий диск принтера , установка 23 карта памяти 15 карты памяти 12 лоток на ...
Lexmark Принтеры Инструкции
-
Lexmark MS312dn
Инструкция по эксплуатации
-
Lexmark MS317dn (35SC130)
Инструкция по эксплуатации
-
Lexmark MS415dn (35S0280)
Инструкция по эксплуатации
-
Lexmark MS417dn (35SC230)
Инструкция по эксплуатации
-
Lexmark MS510dn (35S0330)
Инструкция по эксплуатации
-
Lexmark MS517dn (35SC330)
Инструкция по эксплуатации
-
Lexmark MS810dn
Инструкция по эксплуатации