Страница 17 - ПереД ПервЫМ исПОлЬЗОваниеМ; ЭкОлОги ЧескаЯ уПакОвка
17 русский паспорт технического изделия Электрические духовые шкафы ПереД ПервЫМ исПОлЬЗОваниеМ ДухОвОгО ШкаФа Внимательно изучите данную ин- струкцию — это позволит Вам обеспе- чить максимальную эффективность при использовании духового шкафа. По окончании изготовления и сбор- ки прибора на его дета...
Страница 18 - Обеспечение безопасности при
18 паспорт технического изделия русский Электрические духовые шкафы 1. Панель управления 2. Уплотнитель дверцы ду- хового шкафа 3. Нагревательный эле- мент гриля 4. Хромированная опора 5. Решетка 6. Противень для жарки 7. Шарнир 8. Дверца 9. Выпускное отверстие для воздуха 10. Корпус шкафа 11. Решет...
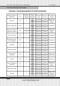
Страница 19 - таблиЦЫ с рекОМенДаЦиЯМи ПО ПригОтОвлениЮ; или
19 русский паспорт технического изделия Электрические духовые шкафы Закуски вес Положе- ние про- тивня режим приго- товления темпера- тура Длитель- ность контейнер/ посуда Запеченный рис 0,35 1 180-200 45-50 Неглубокая форма для запекания 170-190 35-40 Печеные пирожки 1,5 3 170-190 45-50 Противень 2...
Страница 23 - Перед проведением любых работ,
23 русский паспорт технического изделия Электрические духовые шкафы Ч и с т к а и О б с л уж и в а н и е внимание! Перед проведением любых работ, связанных с чисткой или обслуживани- ем, прибор должен быть отключен от электросети. Чистка камеры духового шкафа Â Камеру печи следует очищать от остатко...
Страница 24 - инструкция по снятию
24 паспорт технического изделия русский Электрические духовые шкафы 3 Просушить панели и установить их в духовой шкаф. 4 Включить духовой шкаф на один час при температуре 200 °С. внимание! Для чистки поверхности катали- тических панелей не допускается использовать доступные в продаже чистящие средст...
Страница 26 - Чистка дверцы со стеклом
26 паспорт технического изделия русский Электрические духовые шкафы Для установки дверцы следует вы- полнить те же операции в обратной последовательности. 4 Для шарниров с клипсами: После открытия дверцы духового шкафа с помощью отвертки макси- мально раскройте клипсы. Удерживая клипсы сбоку рукой, ...
Страница 27 - таблицах с рекомендациями по при-; испанская ассоциация нормативов
27 русский паспорт технического изделия Электрические духовые шкафы ПОиск и устранение неисПравнОстейДуховой шкаф не работает. Проверьте подключение к элек- трической сети. Проверьте состояние предохранителей и ограничителя тока. Убедитесь в том, что таймер нахо- дятся в ручном или запрограммиро- ва...
Страница 28 - устанОвка
28 паспорт технического изделия русский Электрические духовые шкафы устанОвка Приведенная в этом разделе ин- формация предназначена только для квалифицированных установщиков оборудования, обладающих необхо- димыми знаниями и опытом для вы- полнения сборки и подключения к электросети. В случае если в...
Страница 29 - установка духового шкафа; Для всех духовых шкафов после подключения к электросети:; т е х н и Ч е с к и й Ч е р т е ж
29 русский паспорт технического изделия Электрические духовые шкафы установка духового шкафа Для всех духовых шкафов после подключения к электросети: 1 Вставьте духовой шкаф в мебельный гарнитур, убедившись, что кабель пи- тания не пережат и не соприкасается с верхней частью духового шкафа. 2 Закреп...
Страница 30 - О О О «ку П П е р с б е р г-с е р в и с»; ус та н О в ка, га ра н т и й н О е и П О с т га ра н т и й н О е О б с л уж и в а н и е; телефон горячей линии Kuppersberg:; Полный список авторизованных сервисынх центров Kuppersberg; услОвиЯ гарантии
30 паспорт технического изделия русский Электрические духовые шкафы О О О «ку П П е р с б е р г-с е р в и с» ус та н О в ка, га ра н т и й н О е и П О с т га ра н т и й н О е О б с л уж и в а н и е П О М О с к в е и М О с кО в с кО й О б л ас т и « +7 (495) 236-90-67 телефон горячей линии Kuppersber...