Страница 3 - ЭКОЛОГИЧЕСКАЯ УПАКОВКА
48 РУКОВОДСТВО ПОЛЬЗОВАТЕЛЯ РУССКИЙ Электрические духовые шкафы ПЕРЕД ПЕРВЫМ ИСПОЛЬЗОВАНИЕМ ПРИБОРА Внимательно изучите данную ин - струкцию — это позволит Вам обеспе - чить максимальную эффективность при использовании духового шкафа. После изготовления и сборки при - бора на его деталях могут сохра...
Страница 4 - Обеспечение безопасности
49 РУССКИЙ РУКОВОДСТВО ПОЛЬЗОВАТЕЛЯ Электрические духовые шкафы цами может привести к повреждению прибора и нарушению его работы, а кроме того к созданию опасных для вас ситуаций. Â В случае возникновения неис - правности отсоедините духовой шкаф от сети питания. Обеспечение безопасности детей Â Не ...
Страница 5 - ПРЕДУПРЕЖДЕНИЕ
50 РУКОВОДСТВО ПОЛЬЗОВАТЕЛЯ РУССКИЙ Электрические духовые шкафы шкафа, так как это может привести к повреждению эмали. Чтобы умень - шить потребление электроэнергии, при использовании духового шкафа старайтесь как можно реже открывать дверцу. Â Перед выполнением каких-ли - бо операций внутри горячег...
Страница 7 - Управление прибором; ТА Й М Е Р; Время может быть настро
52 РУКОВОДСТВО ПОЛЬЗОВАТЕЛЯ РУССКИЙ Электрические духовые шкафы Управление прибором Управление данным прибором осуществляется с помощью поворот - но-нажимной ручки управления. Опе - рации, выполняемые с поворотно-на - жимной ручкой управления: Â нажатие (подтверждение на - стройки и переключение мен...
Страница 8 - Настройка выдачи звукового
53 РУССКИЙ РУКОВОДСТВО ПОЛЬЗОВАТЕЛЯ Электрические духовые шкафы Настройка выдачи звукового сигнала Нажимать ручку до тех пор, пока не начнет мигать символ звонка. Это оз - начает, что прибор перешел в режим настройки выдачи звукового сигнала. Время выдачи звукового сигнала мо - жет быть настроено вр...
Страница 9 - Настройка времени окончания
54 РУКОВОДСТВО ПОЛЬЗОВАТЕЛЯ РУССКИЙ Электрические духовые шкафы строено и время окончания приготов - ления, в противном случае настройка времени начала приготовления будет отменена. Максимальное время для начала приготовления = текущее время + 12 часов. Минимальное время для начала приготовления = т...
Страница 10 - Электрические характеристики
55 РУССКИЙ РУКОВОДСТВО ПОЛЬЗОВАТЕЛЯ Электрические духовые шкафы Ручной режим Если не задана ни одна программа приготовления, то духовой шкаф будет находиться в ручном режиме. В этом режиме духовой шкаф находится в ра - бочем состоянии. Нажмите ручку и удерживайте ее до тех пор, пока не будет выдан з...
Страница 12 - Нижний нагрев; О работе духовки в любом из ре
57 РУССКИЙ РУКОВОДСТВО ПОЛЬЗОВАТЕЛЯ Электрические духовые шкафы Макси-Гриль. В этом режиме будет задействован весь нагревательный элемент гриля. Большая мощность позволит значи - тельно уменьшить время приготовле - ния Ваших блюд Макси-Гриль с конвекцией. Позволяет равномерно прожарить большие куски...
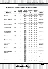
Страница 13 - ТАБЛИЦЫ С РЕКОМЕНДАЦИЯМИ ПО ПРИГОТОВЛЕНИЮ; с помощью режима
58 РУКОВОДСТВО ПОЛЬЗОВАТЕЛЯ РУССКИЙ Электрические духовые шкафы ТАБЛИЦЫ С РЕКОМЕНДАЦИЯМИ ПО ПРИГОТОВЛЕНИЮ В таблицах с рекомендациями по приготовлению приводятся данные по диапазону используемых температур и примерной длительности приготовле - ния различных продуктов. Режим приготовления зависит от ...
Страница 17 - Перед проведением любых работ,
62 РУКОВОДСТВО ПОЛЬЗОВАТЕЛЯ РУССКИЙ Электрические духовые шкафы О Ч И С Т К А И О Б С Л УЖ И В А Н И Е Внимание! Перед проведением любых работ, связанных с очисткой или обслужива - нием, прибор должен быть отключен от электросети. Очистка камеры духового шкафа Â Камеру печи следует очищать от остатк...
Страница 18 - Инструкция по снятию
63 РУССКИЙ РУКОВОДСТВО ПОЛЬЗОВАТЕЛЯ Электрические духовые шкафы 3. Просушить панели и устано - вить их в духовой шкаф. 4. Включить духовой шкаф на один час при температуре 200 °С. Внимание! Для очистки поверхности катали - тических панелей не допускается ис - пользовать обычные чистящие сред - ства ...
Страница 20 - Очистка дверцы со стеклом
65 РУССКИЙ РУКОВОДСТВО ПОЛЬЗОВАТЕЛЯ Электрические духовые шкафы Для установки дверцы следует вы - полнить те же операции в обратной последовательности. 4 Для шарниров с клипсами: После открытия дверцы духового шкафа с помощью отвертки макси - мально раскройте клипсы. Удерживая клипсы сбоку рукой, из...
Страница 21 - Испанская ассоциация нормати
66 РУКОВОДСТВО ПОЛЬЗОВАТЕЛЯ РУССКИЙ Электрические духовые шкафы ПОИСК И УСТРАНЕНИЕ НЕИСПРАВНОСТЕЙ Духовой шкаф не работает Проверьте подключение к элек - трической сети. Проверьте состояние предохранителей и ограничителя тока. Убедитесь в том, что таймер нахо - дится в ручном или запрограммиро - ван...
Страница 22 - для выполнения указанных функций; УСТАНОВКА
67 РУССКИЙ РУКОВОДСТВО ПОЛЬЗОВАТЕЛЯ Электрические духовые шкафы для выполнения указанных функций и достоверность всех данных, указан - ных на этикетке с электрическими ха - рактеристиками. УСТАНОВКА Приведенная в этом разделе инфор - мация предназначена только для ква - лифицированных установщиков о...
Страница 23 - Установка духового шкафа; Для всех духовых шкафов после подключения к электросети:; Т Е Х Н И Ч Е С К И Й Ч Е Р Т Е Ж
68 РУКОВОДСТВО ПОЛЬЗОВАТЕЛЯ РУССКИЙ Электрические духовые шкафы Установка духового шкафа Для всех духовых шкафов после подключения к электросети: 1 Вставьте духовой шкаф в мебельный гарнитур, убедившись, что кабель питания не пережат и не соприкасается с верхней частью духового шкафа. 2 Закрепите ду...
Страница 24 - Обратите Ваше внимание!; Также, неисправностями Изделия не являются:
69 РУССКИЙ РУКОВОДСТВО ПОЛЬЗОВАТЕЛЯ Электрические духовые шкафы Обратите Ваше внимание! Также, неисправностями Изделия не являются: Духовки элек - трические и газовые Изменение цвета материалов изделия в процессе эксплу - атацииНезначительные технические запахи в новом изделии в начальный период экс...
Страница 25 - ТА Б Л И Ц А С С Е Р И Й Н Ы М Н О М Е Р О М:
70 РУКОВОДСТВО ПОЛЬЗОВАТЕЛЯ РУССКИЙ Электрические духовые шкафы Месяц: 1 цифра День 1 цифра Серийный номер 5 цифр ТА Б Л И Ц А С С Е Р И Й Н Ы М Н О М Е Р О М: Производители: СИМЕКО ИСИ ЕКИПМАНЛАРИ ВЕ КАЛИП САНАИ А.С. Еге Сербест Болгеси Аксай Кад.НО:144/1, Газиемир, Измир, Турция Импортеры: ООО «Эм...
Страница 28 - ГАРАНТИЙНЫЙ СЕРТИФИКАТ
73 Все условия гарантии регулируются действующим Законодательством РФ. Гарантийные обязательства не распространяются на технику с неисправностями, возникшими вследствие нарушения технологических требований, описанных в Инструкции по эксплуатации, в том числе: – нестабильности параметров электросети,...