Страница 69 - Русский; Примите поздравления!; СЕ; ПОДГОТОВКА АППАРАТА ДЛЯ МОЙКИ ПОД ДАВЛЕНИЕМ
Русский - 69 - Примите поздравления! Благодарим Вас за покупку аппарата для мойки под давлением, Вы продемонстрировали, что не допускаете компромиссов - Вы выбираете самое лучшее. Цель этой инструкции – дать Вам возможность полностью оценить качество и высокую эффективность, которыми характеризуется...
Страница 70 - ОПИСАНИЕ СИМВОЛОВ, НАНЕСЕННЫХ НА АППАРАТ ДЛЯ МОЙКИ ПОД ДАВЛЕНИЕМ; ОТХОДЫ СПЕЦИАЛЬНОГО
Русский - 70 - ОПИСАНИЕ СИМВОЛОВ, НАНЕСЕННЫХ НА АППАРАТ ДЛЯ МОЙКИ ПОД ДАВЛЕНИЕМ Н Е Н А П Р А В Л Я Й Т Е С Т Р У Ю Н А Л Ю Д Е Й , Ж И ВО Т Н Ы Х , Р О З Е Т К И ЭЛЕКТРОПИТАНИЯ, САМ АППАРАТ. ВНИМАНИЕ, ОПАСНОСТЬ П О Р А Ж Е Н И Я ЭЛЕКТРИЧЕСКИМ ТОКОМ. ЗАЗЕМЛЕНИЕ. ПОДВОД ВОДЫ. СЛИВ ВОДЫ. ВКЛЮЧЕНИЕ МОТ...
Страница 71 - Наиболее важная часть инструкций помечена; БЕЗОПАСНОСТИ ЭКСПЛУАТАЦИИ; КЛАССИФИКАЦИЯ; Класс I; ПРЕДНАЗНАЧЕНИЕ
Русский - 71 - Наиболее важная часть инструкций помечена символом: ВВЕДЕНИЕ Настоящая инструкция должна быть прочтена перед тем, как собрать, включить и начать использовать аппарат для мойки под давлением. Инструкция является составной частью продукции. Она состоит из двух частей, одна из которых же...
Страница 72 - - Мойка поверхностей, непригодных для обработки струей; ПРЕДВАРИТЕЛЬНЫЕ ОПЕРАЦИИ
Русский - 72 - Примеры неблагоразумного применения прибора: - Мойка поверхностей, непригодных для обработки струей под давлением. - Мойка людей, животных, электроприборов и самого прибора. - Использование непригодных моющих средств или химикатов. - Блокирование рычага пистолета (курка) в положении п...
Страница 73 - Класс I
Русский - 73 - Присоедините к прибору шланг высокого давления, (fig. 4С) и пистолет с соплом, (fig. 5). ОБРАТИТЕ ВНИМАНИЕ А п п а р а т д л я м о й к и под давлением должен работать на чистой воде. Грязная вода или с песком, коррозионные химикаты, растворители вызывают серьезные повреждения мойки. Н...
Страница 74 - ОБЩИЕ РЕКОМЕНДАЦИИ ПО СБОРКЕ И ЭКСПЛУАТАЦИИ.
Русский - 74 - Аппарат для мойки под давлением не должен использоваться детьми, подростками или недееспособными людьми (в состоянии опьянения). Пользуйтесь только оригинальными аксессуарами, которые обеспечивают надежную работу прибора. Шланг, связывающий пистолет и прибор не доложен быть поврежден....
Страница 76 - РЕКОМЕНДАЦИИ ПО ИСПОЛЬЗОВАНИЮ
Русский - 76 - FIG.10 И С П О Л Ь З О В А Н И Е РЕГУЛИРУЕМОГО СОПЛА MULTIREG (Fig. 10) Выбор давления должен п р о и з в о д и т ь с я , к о гд а пистолет закрыт. М о й к а п о д н и з к и м д а в л е н и е м и использование моющего средства. П е р е м е с т и т е с о п л о в сторону пистолета. Мойк...
Страница 77 - УХОД
Русский - 77 - ПОЛЬЗОВАТЕЛЕМ МОГУТ БЫТЬ СОВЕРШЕНЫ ТОЛЬКО ДЕЙСТВИЯ, УКАЗАННЫЕ В НАСТОЯЩЕЙ ИНСТРУКЦИИ. ЛЮБЫЕ ДРУГИЕ ОПЕРАЦИИ ВЫПОЛНЯТЬ ЗАПРЕЩАЕТСЯ . Для обслуживания насоса высокого давления, э л е к т р о о б о р уд о в а н и я и в с е х ч а с т е й , и м е ю щ и х предохранительные функции, необходи...
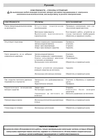
Страница 79 - НЕИСПРАВНОСТИ – СПОСОБЫ УСТРАНЕНИЯ
Русский - 79 - ОБРАТИТЕ ВНИМАНИЕ: Для ремонта и/или обслуживания пользуйтесь только оригинальными запасными частями, которые обладают наилучшими характеристиками качества, надежности и безопасности. Использование неоригинальных запасных частей освобождает производителя от любой ответственности. НЕИС...