Страница 3 - Информация о подтверждении соответствия
Со дер ж ание 3 UP (S, SD, SO)/SOLAR Русский (RU) Паспорт, Руководство по монтажу и эксплуатации . . . . . . . . . . . . . . . . . . . . . . . . . . . . . . . . . . . . . . . 4 Қазақша(KZ) Төлқұжат, Құрастыру және пайдалану бойынша нұсқаулық . . . . . . . . . . . . . . . . . . . . . . . . . . . . . ...
Страница 4 - Ру
Ру сский (RU) 4 Русский (RU) Паспорт, Руководство по монтажу и эксплуатации СОДЕРЖАНИЕ Стр. 1. Указания по технике безопасности 5 1 .1 Общие сведения о документе 5 1 .2 Значение символов и надписей на изделии 5 1 .3 Квалификация и обучение обслуживающего персонала 6 1 .4 Опасные последствия несоблюд...
Страница 5 - Общие сведения о документе; безопасности, приводимые в других разделах .; Значение символов и надписей на изделии
Ру сский (RU) 5 Предупреждение Прежде чем приступать к работам по монтажу оборудования, необходимо внимательно изучить данный документ и Краткое руководство (Quick Guide). Монтаж и эксплуатация оборудования должны проводиться в соответствии с требованиями данного документа, а также в соответствии с ...
Страница 6 - Квалификация и обучение обслуживающего персонала; или механических факторов .; Выполнение работ с соблюдением техники безопасности; если оборудование находится в эксплуатации .
Ру сский (RU) 6 1.3 Квалификация и обучение обслуживающего персонала Персонал, выполняющий эксплуатацию, техническое обслуживание и контрольные осмотры, а так же монтаж оборудования, должен иметь соответствующую выполняемой работе квалификацию . Круг вопросов, за которые персонал несет ответственнос...
Страница 7 - осмотров и монтажа; руководства по монтажу и эксплуатации .; Недопустимые режимы эксплуатации; должны обязательно соблюдаться во всех случаях .
Ру сский (RU) 7 1.7 Указания по технике безопасности при выполнении технического обслуживания, осмотров и монтажа Потребитель должен обеспечить выполнение всех работ по техническому обслуживанию, контрольным осмотрам и монтажу квалифицированными специалистами, допущенными к выполнению этих работ и в...
Страница 9 - Конструкция; • графитовый упорный подшипник; Электродвигатель
Ру сский (RU) 9 4. Общие сведения об изделии Данное Руководство распространяется на насосы UP серии 100, UPS серии 100, UPSD серии 100, UPSO и SOLAR . Конструкция Насосы UP (S, SD, SO)/SOLAR являются насосами с ротором, изолированным от статора герметичной гильзой, т .е . насос и электродвигатель об...
Страница 10 - Фирменная табличка
Ру сский (RU) 10 Электродвигатель оснащен защитой от перегрева, поэтому нет необходимости предусматривать внешнюю защиту электродвигателя . Фирменная табличка Фирменные таблички насосов приведены в Приложении 2. Типовое обозначениеПример UP S D 40 -40 F Типовой ряд Исполнение: S: с фиксированными ск...
Страница 11 - собой право тщательно осмотреть возможное повреж дение .; Запрещается поднимать оборудование за питающий кабель.; Область применения; • охлаждающие жидкости без содержания минеральных масел
Ру сский (RU) 11 5. Упаковка и перемещение 5.1 Упаковка При получении оборудования проверьте упаковку и само оборудование на наличие повреж дений, которые могли быть получены при транспортировке . Перед тем как выкинуть упаковку, тщательно проверьте, не остались ли в ней документы и мелкие детали . ...
Страница 12 - Кинематическая вязкость воды ʋ = 1 мм
Ру сский (RU) 12 Кинематическая вязкость воды ʋ = 1 мм 2 /с (1 сСт) при 20 °C . Если необходимо, можно применить растворы этилена или пропиленгликоля в воде (50% объемных), однако снижение рабочих характеристик насоса может быть вызвано увеличением вязкости раствора . Для определения возможности пер...
Страница 13 - в горизонтальном положении .; Насос предназначен только для установки в помещении.
Ру сский (RU) 13 а) Циркуляционные насосы UPS A (Airlectric) – это комбинация циркуляционного насоса и воздушного сепаратора . Перекачиваемая жидкость, содержащая воздух, направляется через сопло в камеру сепаратора . В сопле жидкость сильно закручивается и затем попадает в расширяющуюся камеру, что...
Страница 14 - Требования к установке:; Положение клеммной коробки
Ру сский (RU) 14 Требования к установке: 1 . Перед установкой насоса полностью очистите и промойте систему . 2 . Не устанавливайте насос в самой низкой точке системы, в которой могут скапливаться грязь и осадок . 3 . Установите воздухоотводчик в верхней точке (точках) системы для отвода выделившегос...
Страница 15 - Подключение электрооборудования должно выполняться только
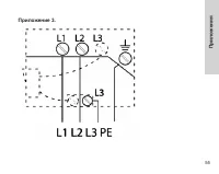
Ру сский (RU) 15 9. Подключение электрооборудования Дополнительная информация по подк лючению электрооборудования приведена в Кратком руководстве (Quick Guide) . Подключение электрооборудования должно выполняться только специалистом-электриком в соответствии с местными нормами и правилами.В целях пр...
Страница 16 - перекачиваемой жидкостью.; Не используйте насос для удаления воздуха из всей системы. Нельзя; Настройка режимов; Приложение 4
Ру сский (RU) 16 10. Ввод в эксплуатацию Внимание Не вводите насосы в эксплуатацию до тех пор, пока система не заполнена перекачиваемой жидкостью. Для того, чтобы ввести насосы UP (S, SD, SO)/SOLAR в эксплуатацию, необходимо перевести сетевой вык лючатель в положение «Вк лючено» .При пуске насосов н...
Страница 17 - Тип насоса; UP; Особенности настройки режимов работы насосов UPSD:; Техническое обслуживание; перевести сетевой вык лючатель в положение «Отк лючено» .
Ру сский (RU) 17 Таблица 1 . Тип насоса Количество скоростей UP I – постоян . скорость UP (S, SD, SO) I – мин . скорость II – сред . скорость III – макс . скорость SOLAR I – мин . скорость II – макс . скорость Особенности настройки режимов работы насосов UPSD: При подк лючении в сеть насосов по умол...
Страница 18 - Температура перекачиваемой жидкости; случае в корпусе статора может образовываться конденсат .; Максимальное давление системы; соответствии с таблицей 2 .
Ру сский (RU) 18 14. Технические данные Максимальные расходно-напорные значения насосов UP (S, SD,SO)/SOLAR представлены в Приложении 5. Температура перекачиваемой жидкости Температура перекачиваемой жидкости большинства циркуляционных насосов типа UP (S, SD, SO) и SOLAR, в зависимости от типа, варь...
Страница 19 - Минимально необходимое давление на всасывающем патрубке; Температура жидкости
Ру сский (RU) 19 Таблица 2 . Минимально необходимое давление на всасывающем патрубке Температура жидкости 85 °С 95 °С 110 °С Напор 0,5 м 2,8 м 11,0 м Давление на входе 0,049 бар 0,27 бар 1,08 бар В закрытой системе под давлением требуемое давление на входе – это минимально допустимое давление в сист...
Страница 20 - Неисправность
Ру сский (RU) 20 15. Обнаружение и устранение неисправностей Таблица 3 . Неисправность Причина Устранение неисправности 1 . Шум в радиаторе . 1 .1 Избыточное давление теплоносителя, проходящего через термостатический вентиль . Установить регулируемый насос . Давление в системе будет понижаться при с...
Страница 23 - нецелесообразности эксплуатации .
Ру сский (RU) 23 16. Утилизация изделия Основным критерием предельного состояния изделия является:1 . отказ одной или нескольких составных частей, ремонт или замена которых не предусмотрены; 2 . увеличение затрат на ремонт и техническое обслуживание, приводящее к экономической нецелесообразности экс...
Страница 44 - Спецификация материалов; сов и из различия в строении:; Разрез трехфазного насоса UP
Прил ож ения 44 Приложение 1. ALPHA2, ALPHA2 L, UPS серия 100 13 Конструкция насосов ALPHA2, ALPHA2 L, UPS серия 10 0 6 TM03 9728 4307 Спецификация материалов Поз. Наименование Материал ¹ материала по DIN 1 Контроллер в сборе Композит PC 9 Гильза ротора Нерж. сталь 1.4301 Радиальный Керамика подшипн...
Страница 45 - Разрез однофазного насоса UP, насоса типа SOLAR
Прил ож ения 45 ALPHA2, ALPHA2 L, UPS серия 100 13 Конструкция насосов ALPHA2, ALPHA2 L, UPS серия 10 0 6 TM03 9728 4307 Спецификация материалов Поз. Наименование Материал ¹ материала по DIN 1 Контроллер в сборе Композит PC 9 Гильза ротора Нерж. сталь 1.4301 Радиальный Керамика подшипник 11 Вал Кера...
Страница 48 - Технические; Воздухоотводчик не входит в комплект поставки насосов.; Насос с воздухоотделителем; Исполнение насоса UPS A с воздухоотделителем
Прил ож ения 48 ALPHA2, ALPHA2 L, UPS серия 100 38 Технические данные / диаграммы характеристик 8 Циркуляционные насосы для систем отоп�ления (исполнение A – со штуцером длявоздухоотводчика) Насосы модели А (Airlectric) – это комбинация циркуляцион�ного насоса и воздушного сепаратора. Последний отде...
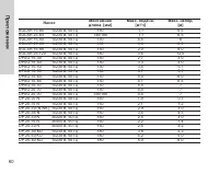
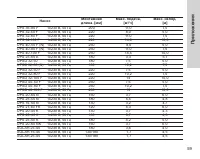
Страница 57 - Насос
Прил ож ения 57 Приложение 5. Насос Монтажная длина, [мм] Макс. подача, [м 3 /ч] Макс. напор, [м] UPS 21-40 F 1х230 В, 50 Гц 120 2,9 3,7 UPS 21-50 F 1х230 В, 50 Гц 120 3,3 4,7 UPS 21-60 F 1х230 В, 50 Гц 120 3,3 5,7 UPS 15-20 1х230 В, 50 Гц 130 2,0 2,0 UPS 15-30 1х230 В, 50 Гц 130 2,4 3,0 UPS 15-40 1...