Страница 2 - СОДЕРЖАНИЕ; MANUAL AUTO; МЕРЫ; ОПАСНОСТЬ
Ru-1 СОДЕРЖАНИЕ МЕРЫ ПРЕДОСТОРОЖНОСТИ ..........................Ru-1 ВОЗМОЖНОСТИ И ФУНКЦИИ ............................Ru-2 НАЗВАНИЯ ДЕТАЛЕЙ .........................................Ru-3 ПОДГОТОВКА К РАБОТЕ ....................................Ru-5 РАБОТА ................................................
Страница 5 - E C O N O M Y
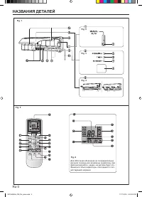
Ru-4 Fig. 5 Пульт дистанционного управления F Передатчик сигнала G Кнопка MODE ( РЕЖИМ ) H Кнопка 10 °C HEAT ( РЕЖИМ ОБОГРЕВА 10 ГРД ) I Кнопка ECONOMY ( ЭНЕРГОСБЕРЕЖЕНИЕ ) J Кнопка SLEEP ( АВТОМАТИЧЕСКОЕ ВЫКЛЮЧЕНИЕ ) K Кнопка TIMER MODE ( РЕЖИМ ТАЙМЕРА ) L Кнопка FAN ( ВЕНТИЛЯТОР ) M Кнопка START/S...
Страница 6 - ПРЕДУПРЕЖДЕНИЕ
Ru-5 ПОДГОТОВКА К РАБОТЕ ПРЕДУПРЕЖДЕНИЕ ! ● Примите меры для предотвращения случайного глотания элементов питания маленькими детьми . ● Если пульт дистанционного управления длительное время не используется , вынь - те из него элементы питания во избежа - ние возможной утечки и повреждения пульта . ●...
Страница 7 - РАБОТА
Ru-6 Выбор режима работы 1 Нажмите кнопку START/STOP ( ПУСК / ОСТАНОВ ) (Fig.5 M ). Загорится индикаторная лампочка OPERATION ( РАБОТА ) ( зеленая ) (Fig. 3 5 ) внутреннего модуля . Кондиционер включится . 2 Нажмите кнопку MODE ( РЕЖИМ ) (Fig.5 G ) для вы - бора требуемогорежима . При каждом нажатии...
Страница 8 - Выключение
Ru-7 OPERATION ( РАБОТА ) Выключение Нажмите кнопку START/STOP ( ПУСК / ОСТАНОВ ) (Fig. 5 M ). Индикаторная лампочка OPERATION ( РАБОТА ) ( зеленая ) (Fig. 3 5 ) погаснет . Режим работы AUTO CHANGEOVER ( АВТОМАТИЧЕСКОЕ ПЕРЕКЛЮЧЕНИЕ ) AUTO ( АВТОМАТИЧЕСКИЙ ): ● При первом выборе режима AUTO CHANGEOVE...
Страница 9 - ИСПОЛЬЗОВАНИЕ; O F F; Программируемый
Ru-8 Отмена таймера С помощью кнопки TIMER MODE ( РЕЖИМ ТАЙМЕРА ) выберите “CANCEL” ( ОТМЕНА ). Кондиционер вернется в нормальный режим работы . Изменение настроек таймера 1. Следуйте инструкциям раздела “ Использо - вание таймера включения и выключения ” для выбора настроек таймера , которые вы хот...
Страница 10 - Таймер
Ru-9 РАБОТА ТАЙМЕРА АВТОМАТИЧЕСКОГО ВЫКЛЮЧЕНИЯ В отличие от других функций таймеров , таймер SLEEP ( ТАЙМЕР АВТОМАТИЧЕСКОГО ВЫКЛЮЧЕНИЯ ) используется для настройки продолжительности работы кондиционера до его выключения . Использование таймера SLEEP ( ТАЙМЕР АВТОМАТИ - ЧЕСКОГО ВЫКЛЮЧЕНИЯ ) При работ...
Страница 12 - STOP; РЕЖИМ; Режим
Ru-11 Выбор режима SWING ( КОЛЕБАНИЯ ) Нажмите кнопку SWING ( КОЛЕБАНИЯ ) (Fig. 5 P ). Отобразится дисплей SWING ( КОЛЕБАНИЯ ) (Fig. 6 \ ). При каждом нажатии кнопки SWING ( КОЛЕБАНИЯ ) режим колебания будет изме - няться в следующей последовательности . Выключение режима SWING ( КОЛЕБАНИЯ ) Нажмите...
Страница 16 - M O D E
Ru-15 Сброс индикатора фильтра ( специальная настройка ) • Может использоваться при правильной регулировке во время установки . Проконсультируйтесь у опытного мастера перед использованием данной функции . • Светится , когда необходимо заменить воздушные фильтры . Очистите фильтр в соответствии с раз...
Страница 17 - ВНИМАНИЕ
Ru-16 УСТРАНЕНИЕ НЕИСПРАВНОСТЕЙ В случае неисправности ( запаха горелого и т . п .) немедленно остановите работу устройства , от - ключите электрический рубильник и обратитесь к авторизованному обслуживающему персоналу . Простое выключение выключателя питания устройства не отключит устройство от эле...
Страница 18 - РЕКОМЕНДАЦИИ; Работа
Ru-17 УСТРАНЕНИЕ НЕИСПРАВНОСТЕЙ Признак Проблема См . стра - ницу ПОВТОРНАЯ ПРОВЕРКА Устройство не работает вообще : ● Автоматический выключатель выключен ? ● Отсутствует электропитание ? ● Перегорел предохранитель или сработала защита авто - матического выключателя ? — ● Работает таймер ? 8 - 9 Сла...
Страница 19 - Многопрофильный; Автоматический
Ru-18 РЕКОМЕНДАЦИИ ПО ЭКСПЛУАТАЦИИ Многопрофильный кондиционер Данный внутренний модуль может быть подключен к многопрофильному наружному модулю . Многопрофильный кондицио - нер позволяет нескольким наружным модулям работать в разных местах . Внутренние модули могут работать одновременно , в соответ...