Electrolux LIT30230C - инструкции и руководства
Варочная панель Electrolux LIT30230C - инструкции пользователя по применению, эксплуатации и установке на русском языке читайте онлайн в формате pdf
Инструкции:
Инструкция по эксплуатации Electrolux LIT30230C
Краткое содержание
МЫ ДУМАЕМ О ВАС Благодарим вас за приобретение прибора Electrolux. Вы выбрали изделие, за которым стоят десятилетия профессионального опыта и инноваций. Уникальное и стильное, оно создавалось с заботой о вас. Поэтому когда бы вы ни воспользовались им, вы можете быть уверены: результаты всегда будут ...
• Очистка и доступное пользователю техническое обслуживание прибора не должны выполняться детьми без присмотра. 1.2 Общая безопасность • Данный прибор предназначен исключительно для приготовления пищи. • Данный прибор предназначен для бытового применения в отдельном домохозяйстве. • Данный прибор мо...
• Не кладите металлические предметы, такие как ножи, вилки, ложки и крышки на варочную поверхность, так как возможно их сильное нагревание. • Не эксплуатируйте прибор до его встраивания в мебель. • Не используйте для очистки прибора пароочиститель. • После использования выключите конфорку, установив...
• Следуйте инструкциям по установке, входящим в комплект прибора. • Обеспечьте наличие минимально допустимых зазоров между соседними приборами и предметами мебели. • Всегда будьте осторожны при перемещении прибора, поскольку он тяжелый. Всегда используйте защитные перчатки и закрытую обувь. • Поверх...
• Очищайте прибор мягкой влажной тряпкой. Используйте только нейтральные моющие средства. Не используйте абразивные средства, царапающие губки, растворители или металлические предметы. 2.5 Сервис • Для ремонта прибора обратитесь в авторизованный сервисный центр. Используйте только оригинальные запас...
ленты расположены посередине одной из сторон варочной панели. 3. Отмеряя уплотнительную ленту перед тем, как ее отрезать, добавьте несколько миллиметров к ее длине. 4. Соедините две конца уплотнительной ленты вместе. 3.4 Сборка При установке варочной панели под вытяжкой ознакомьтесь с инструкциями п...
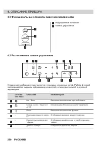
4. ОПИСАНИЕ ПРИБОРА 4.1 Функциональные элементы варочной поверхности 145 mm 210 mm 1 1 2 1 Индукционные конфорки 2 Панель управления 4.2 Расположение панели управления 1 2 3 4 5 6 7 8 9 10 Управление прибором осуществляется с помощью сенсорных полей. Работа функций подтверждается выводом информации ...
Сенсор‐ ное поле Описание Комментарий 7 - Выбор конфорки 8 / - Увеличение или уменьшение времени. 9 / - Установка мощности нагрева. 10 PowerBoost Включение функции. 4.3 Индикаторы ступеней нагрева Дисплей Описание Конфорка выключена. - Конфорка работает Выполняется Пауза. Выполняется PowerBoost. + ч...
• вы пользуетесь несоответствующей посудой Загорается значок , и через две минуты конфорка автоматически прекращает работу. • Конфорка не была выключена или не был изменен уровень нагрева. Черезнекоторое время загорается значок , и варочная панель выключается. Соотношение уровня нагрева и времени ра...
начинает мигать, запускается обратный отсчет времени.Просмотр оставшегося времени:коснитесь для выбора конфорки. Индикатор конфорки начнет мигать. На дисплее отобразится оставшееся до конца отсчета время.Чтобы выключить эту функцию:коснитесь для выбора конфорки, азатем коснитесь . Оставшееся время о...
. Выключите варочную панель при помощи .Отмена функции на один цикл приготовления: Включите варочнуюпанель при помощи . Загорится .Прикоснитесь к на 4 секунды. Выберите уровень нагрева в течение 10 секунд. Варочной панелью можно пользоваться. После выключенияварочной панели при помощи данная функция...
• Дно посуды должно быть как можно более толстым и плоским. • Прежде чем ставить посуду на варочную поверхность, убедитесь в том, что дно посуды сухое и чистое. • Во избежание появления царапин не двигайте и не трите посудой стеклокерамическую поверхность. Материал посуды• правильно: чугун, сталь, э...
Настройки на‐ грева Используйте для: Время (мин) Советы 1 - 2 Голландский соус, растапливание: сливочное масло, шоколад, желатин. 5 - 25 Время от времени перемешивайте. 2 Застывание: пышный омлет, запе‐ ченные яйца. 10 - 40 Приготовление под крышкой. 2 - 3 Приготовление риса и молочных блюд на медле...
повреждению поверхности варочной панели. Соблюдайте осторожность, чтобы не обжечься. Расположите специальный скребок под острым углом к стеклянной поверхности и двигайте его по этой поверхности. • Удаление следующих загрязнений следует выполнять, только если поверхность варочной панели достаточно ос...
Проблема Возможная причина Способ устранения Выдается звуковой сигнал, и варочная панель выключается. Выдается звуковой сигнал, ко‐ гда варочная панель выклю‐ чается. На один или несколько датчиков положили посторонний предмет. Удалите посторонний предмет с датчиков. Варочная панель выключается. На ...
продавца, будет платным, даже если срок гарантии еще не истек. Информация о гарантийном сроке и авторизованных сервисных центрах приведена в гарантийном свидетельстве. 9. ТЕХНИЧЕСКИЕ ДАННЫЕ 9.1 Табличка с техническими данными Модель LIT30230C Продуктовый номер (PNC) 949 492 551 00 Тип 61 A2A 00 AA 2...
Потребление энергии конфорочной (варочной) панели на килограмм (EC electric hob, EChob) 186.2 Вт⋅ч/кг IEC / EN 60350-2 - Бытовые электрические приборы для приготовления пищи – Часть 2: Варочные панели – Методы измерений эксплуатационных характеристик. 10.2 Энергосбережение Вы можете экономить электр...
Electrolux Варочные панели Инструкции
-
Electrolux 300 IPE6440KX
Инструкция по эксплуатации
-
Electrolux 300 IPE6440WI
Инструкция по эксплуатации
-
Electrolux 700 Sense SenseBoil IPES6451WF
Инструкция по эксплуатации
-
Electrolux CEE6432KX
Инструкция по эксплуатации
-
Electrolux CIL61443C
Инструкция по эксплуатации
-
Electrolux CIR60430CB
Инструкция по эксплуатации
-
Electrolux CIV634
Инструкция по эксплуатации
-
Electrolux CIV644
Инструкция по эксплуатации
-
Electrolux CKE6450WC
Инструкция по эксплуатации
-
Electrolux CPE3242KC
Инструкция по эксплуатации
-
Electrolux CPE6420KX
Инструкция по эксплуатации
-
Electrolux CPE6421KX
Инструкция по эксплуатации
-
Electrolux CPE6433KF
Инструкция по эксплуатации
-
Electrolux CPE6433KX
Инструкция по эксплуатации
-
Electrolux CPE644RBC
Инструкция по эксплуатации
-
Electrolux CPE644RCC
Инструкция по эксплуатации
-
Electrolux EGC 3313 NOK
Инструкция по эксплуатации
-
Electrolux EGC 3322 NOK
Инструкция по эксплуатации
-
Electrolux EGC 93322 NK
Инструкция по эксплуатации
-
Electrolux EGC93313NK
Инструкция по эксплуатации