Electrolux EOB 5440 AOK (AOV) (AOX) - инструкции и руководства
Печь Electrolux EOB 5440 AOK (AOV) (AOX) - инструкции пользователя по применению, эксплуатации и установке на русском языке читайте онлайн в формате pdf
Инструкции:
Инструкция по эксплуатации Electrolux EOB 5440 AOK (AOV) (AOX)
1
2
3
4
5
6
7
8
9
10
11
12
13
14
15
16
17
18
19
20
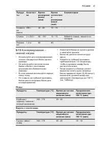
21
22
23
24
25
26
27
28
29
30
31
32
33
34
35
36
Electrolux Печи Инструкции
-
Electrolux EEB 4230 PAX (POX)
Инструкция по эксплуатации
-
Electrolux EOA 3400 AAX (AOX)
Инструкция по эксплуатации
-
Electrolux EOA 3434 AAK
Инструкция по эксплуатации
-
Electrolux EOA 5851 AAX
Инструкция по эксплуатации
-
Electrolux EOA 93434 AK (AX)
Инструкция по эксплуатации
-
Electrolux EOA 93450 AX
Инструкция по эксплуатации
-
Electrolux EOA 93451 AX
Инструкция по эксплуатации
-
Electrolux EOA 95551 AK (AX)
Инструкция по эксплуатации
-
Electrolux EOA5220AOR
Инструкция по эксплуатации
-
Electrolux EOA5220AOV
Инструкция по эксплуатации
-
Electrolux EOA93434AK
Инструкция по эксплуатации
-
Electrolux EOB 2200 BOR
Инструкция по эксплуатации
-
Electrolux EOB 30001 X
Инструкция по эксплуатации
-
Electrolux EOB 31004 X
Инструкция по эксплуатации
-
Electrolux EOB 33200 X
Инструкция по эксплуатации
-
Electrolux EOB 33300 X
Инструкция по эксплуатации
-
Electrolux EOB 3400 DOX
Инструкция по эксплуатации
-
Electrolux EOB 53001 R
Инструкция по эксплуатации
-
Electrolux EOB 53004 X
Инструкция по эксплуатации
-
Electrolux EOB 53102 X
Инструкция по эксплуатации