Страница 46 - ПОДДЕРЖКА ПОТРЕБИТЕЛЕЙ И СЕРВИСНОЕ ОБСЛУЖИВАНИЕ
СОДЕРЖАНИЕ 1. СВЕДЕНИЯ ПО ТЕХНИКЕ БЕЗОПАСНОСТИ . . . . . . . . . . . . . . . . . . . . . . . . . . . . . . . . . . . . . . . . . . . . . . 472. УКАЗАНИЯ ПО БЕЗОПАСНОСТИ . . . . . . . . . . . . . . . . . . . . . . . . . . . . . . . . . . . . . . . . . . . . . . . . . . . . . . . 483. ОПИСАНИЕ ИЗДЕЛИЯ...
Страница 48 - УКАЗАНИЯ ПО БЕЗОПАСНОСТИ
• Не эксплуатируйте данный прибор с помощью внешнего таймера или отдельной системы дистанционного управле‐ ния. • Оставление на варочной панели продуктов, готовящихся на жире или масле, может представлять опасность и привести к пожару. • Ни в коем случае не пытайтесь залить пламя водой; вместо этого...
Страница 49 - Подключение к электросети
вызванные отсутствием достаточного для вентиляции пространства. • Дно прибора сильно нагревается. Рекомен‐ дуется разместить под прибором пожаро‐ безопасную разделительную прокладку для предотвращения доступа прибору снизу. Подключение к электросети ВНИМАНИЕ! Существует риск пожара и пораже‐ ния эле...
Страница 51 - Функциональные элементы панели управления
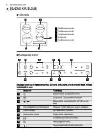
3. ОПИСАНИЕ ИЗДЕЛИЯ 3.1 Общий обзор 210 mm 180 mm 180 mm 145 mm 1 2 4 5 3 1 Индукционная конфорка 2 Индукционная конфорка 3 Индукционная конфорка 4 Панель управления 5 Индукционная конфорка 3.2 Функциональные элементы панели управления 1 2 4 5 3 6 8 9 10 7 Управление прибором осуществляется с помощь...
Страница 52 - ЕЖЕДНЕВНОЕ ИСПОЛЬЗОВАНИЕ; Автоматическое отключение
Сенсорное поле Функция 9 / Увеличение или уменьшение времени. 10 Включение и выключение функции STOP +GO. 3.3 Индикаторы мощности нагрева Дисплей Описание Конфорка выключена.Функция "Поддержание тепла" / STOP+GO включена. - / - Конфорка работает.Включена функция автоматического нагрева.На ко...
Страница 56 - Информация об акриламидах
Мо щно сть на‐ гре‐ ва Назначение: Время Советы Номинальная потребляе‐ мая мощ‐ ность 1 Сохранение приготовлен‐ ных блюд теплыми по мере не‐ обходимости Готовьте под крышкой 3 % 1 - 2 Голландский соус, раста‐ пливание: сливочного ма‐ сла, шоколада, желатина 5 - 25 мин Время от времени пе‐ ремешивайт...
Страница 57 - ПОИСК И УСТРАНЕНИЕ НЕИСПРАВНОСТЕЙ
6. УХОД И ОЧИСТКА Прибор необходимо очищать от загрязнений после каждого использования. Следите за тем, чтобы днище приспособле‐ ния всегда было чистым. Царапины или темные пятна на сте‐ клокерамике не влияют на работу прибора. Удаление загрязнений: 1. – Удаляйте немедленно: расплавленную пластмассу...
Страница 59 - ИНСТРУКЦИИ ПО УСТАНОВКЕ; Встраиваемые приборы
Неисправность Возможная причина Решение Высвечивается символ . Произошла ошибка в рабо‐ те прибора в результате выкипания воды в посуде. Сработала защита от пере‐ грева конфорок и система автоматического отключе‐ ния. Выключите прибор. Снимите горячую посуду. Затем при‐ мерно через 30 секунд снова в...
Страница 61 - ТЕХНИЧЕСКИЕ ДАННЫЕ
В случае использования защитного короба(дополнительная принадлежность 1) ), фрон‐ тальный 2-мм вентиляционный зазор и защи‐ та пола под прибором не являются обяза‐ тельными. В случае установки прибора над духовым шкафом использование защитного экрана не‐ возможно. 1) В ряде стран защитный короб може...