Страница 13 - ПОДДЕРЖКА ПОТРЕБИТЕЛЕЙ И СЕРВИСНОЕ
СОДЕРЖАНИЕ 1. СВЕДЕНИЯ ПО ТЕХНИКЕ БЕЗОПАСНОСТИ...............................................14 2. УКАЗАНИЯ ПО БЕЗОПАСНОСТИ................................................................. 16 3. ОПИСАНИЕ ИЗДЕЛИЯ................................................................................... 18 4....
Страница 14 - возможностями
1. СВЕДЕНИЯ ПО ТЕХНИКЕ БЕЗОПАСНОСТИ Перед установкой и эксплуатацией прибора внимательно ознакомьтесь с приложенным руководством. Производитель не несет ответственность за травмы и повреждения, полученные/вызванные неправильной установкой и эксплуатацией. Позаботьтесь о том, чтобы данное руководство...
Страница 15 - Общие правила техники безопасности
• Детям младше 3 лет запрещается находиться рядом с прибором, если взрослые не обеспечивают за ними постоянный надзор. 1.2 Общие правила техники безопасности • Прибор и его доступные для контакта части сильно нагреваются во время эксплуатации. Не прикасайтесь к нагревательным элементам. • Не эксплуа...
Страница 16 - УКАЗАНИЯ ПО БЕЗОПАСНОСТИ; электросети
2. УКАЗАНИЯ ПО БЕЗОПАСНОСТИ 2.1 Установка ВНИМАНИЕ! Установка прибора должна осуществляться только квалифицированным персоналом! • Удалите всю упаковку. • Не устанавливайте и не подключайте прибор, если он имеет повреждения. • Следуйте приложенным к прибору инструкциям по его установке. • Выдерживай...
Страница 18 - Функциональные элементы варочной панели
• Не позволяйте жидкости полностью выкипать из посуды. • Не допускайте падения на поверхность прибора каких-либо предметов или кухонной посуды. Это может привести к ее повреждению. • Не включайте конфорки без кухонной посуды или с пустой кухонной посудой. • Не кладите на прибор алюминиевую фольгу. •...
Страница 19 - Индикация остаточного; тепла; ЕЖЕДНЕВНОЕ ИСПОЛЬЗОВАНИЕ; Порядок эксплуатации; варочной панели; Включение и выключение
3.2 Индикация остаточного тепла ВНИМАНИЕ! Существует опасность ожога из-за остаточного тепла. Индикация включается, когда конфорка горячая. 4. ЕЖЕДНЕВНОЕ ИСПОЛЬЗОВАНИЕ ВНИМАНИЕ! См. Главы, содержащие Сведения по технике безопасности. 4.1 Порядок эксплуатации варочной панели Управление варочной панел...
Страница 20 - ПОИСК И УСТРАНЕНИЕ НЕИСПРАВНОСТЕЙ; Если решение найти не
полиэтиленовую пленку и пищевые продукты, содержащие сахар. Иначе загрязнения могут привести к повреждению варочной панели. Расположите специальный скребок под острым углом к стеклянной поверхности и двигайте его по этой поверхности. • После того, как прибор полностью остынет, удаляйте: известковые ...
Страница 21 - Серийный; Встраиваемые варочные; панели
Инструкции по сервисному центру и условиям гарантии приведены в гарантийном буклете. 8. УСТАНОВКА ВНИМАНИЕ! См. Главы, содержащие Сведения по технике безопасности. 8.1 Перед установкой Перед установкой варочной панели перепишите с таблички с техническими данными перечисленные ниже сведения. Табличка...
Страница 22 - ТЕХНИЧЕСКИЕ ДАННЫЕ; Табличка с техническими; данными; Спецификация конфорок; ЭНЕРГОЭФФЕКТИВНОСТЬ
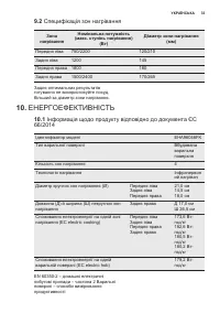
9. ТЕХНИЧЕСКИЕ ДАННЫЕ 9.1 Табличка с техническими данными Модель EHA96046FK PNC (код изделия) 949 596 214 00 Тип 58 AAD 65 ZO 220-240 В 50-60 Гц Сделано в Германии Серийный № ................. 7.6 кВт ELECTROLUX 9.2 Спецификация конфорок Конфорка Номинальная мощность (Макс. мощность нагрева) [Вт] Ди...
Страница 23 - электроэнергии; ОХРАНА ОКРУЖАЮЩЕЙ СРЕДЫ
Энергопотребление каждой конфорки (EC electric cooking) Передняя левая Задняя левая Передняя правая Задняя правая 173,6 Вт·ч/кг 182,6 Вт·ч/кг 180,5 Вт·ч/кг 180,2 Вт·ч/кг Энергопотребление варочной панели (EC electric hob) 179,2 Вт·ч/кг EN 60350-2 Бытовые электроприборы для приготовления пищи – Часть...