Страница 3 - Содержание
Содержание Глава 1: Настройте компьютер ............................................................................................................4 Глава 2: Изображения Alienware Aurora R12..................................................................................... 7 Передняя панель ........
Страница 7 - Передняя
Изображения Alienware Aurora R12 Передняя панель 1. Кнопка питания ( в виде головы инопланетянина ) При нажатии включает компьютер , если он выключен , находится в спящем режиме или в режиме гибернации . Нажмите , чтобы переключить компьютер в спящий режим , если он включен . Когда компьютер включен...
Страница 8 - Назад
Служат для подключения периферийных устройств , таких как внешние запоминающие устройства и принтеры . Обеспечивает передачу данных со скоростью до 5 Гбит / с . Технология PowerShare позволяет заряжать подключенные устройства USB. ПРИМЕЧАНИЕ : Некоторые устройства USB могут не заряжаться , когда ком...
Страница 12 - Размеры; Процессоры
Технические характеристики Alienware Aurora R12 Размеры и масса В следующей таблице приведены высота , ширина , длина и вес Alienware Aurora R12. Таблица 1. Размеры и масса Описание Значения Высота : Высота спереди 441,80 мм (17,39 дюйма ) Высота сзади 481,60 мм (18,96 дюйма ) Ширина 222,80 мм (8,77...
Страница 15 - Порты
Таблица 4. Технические характеристики памяти Описание Значения Разъемы для модулей памяти Четыре UDIMM Тип памяти DDR4 Быстродействие памяти От 3200 до 3400 МГц ( память XMP) Максимальная конфигурация памяти 128 Гбайт Минимальная конфигурация памяти 8 Гбайт Объем памяти на каждый слот 8 Гбайт , 16 Г...
Страница 16 - контроллер; Модуль
Таблица 5. Порты и разъемы ( продолжение ) Описание Значения ● Один порт объемного звучания для тыловых левого и правого динамиков ● Один порт объемного звучания для центрального канала / сабвуфера ● Один порт линейного входа Видео Поддерживается с помощью дискретного графического процессора Устройс...
Страница 19 - Мощность; Условия
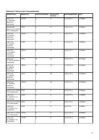
Таблица 10. Технические характеристики подсистемы хранения данных Тип накопителя Тип интерфейса Емкость Два 2,5- дюймовых жестких диска SATA AHCI, до 6 Гбит / с До 2 Тбайт Один 3,5- дюймовый жесткий диск SATA AHCI, до 6 Гбит / с До 2 Тбайт Один твердотельный накопитель M.2 2230/2280 PCIe NVMe, до 32...
Страница 21 - Alienware Command Center
Alienware Command Center Alienware Command Center (AWCC) предоставляет единый интерфейс для настройки и совершенствования игрового процесса . На панели управления AWCC отображаются последние использовавшиеся и добавленные игры , а также относящаяся к играм информация , темы , профили и средства дост...
Страница 22 - Alienware
Получение справки и обращение в Alienware Материалы для самостоятельного разрешения вопросов Получить информацию и помощь по продукции и услугам Alienware можно при помощи следующих интерактивных ресурсов : Таблица 13. Продукты Alienware и интернет - ресурсы Материалы для самостоятельного разрешения...