Cold Vine C154-WM2-BAR - инструкции и руководства
Винный шкаф Cold Vine C154-WM2-BAR - инструкции пользователя по применению, эксплуатации и установке на русском языке читайте онлайн в формате pdf
Инструкции:
Инструкция по эксплуатации Cold Vine C154-WM2-BAR
1
2
3
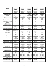
4
5
6
7
8
9
10
11
12
13
14
15
Cold Vine Винные шкафы Инструкции
-
Cold Vine C7-KBТ1
Инструкция по эксплуатации
-
Cold Vine C18-KBТ1
Инструкция по эксплуатации
-
Cold Vine C34-KBF2
Инструкция по эксплуатации
-
Cold Vine C24-KSF2
Инструкция по эксплуатации
-
Cold Vine C34-KSF2
Инструкция по эксплуатации
-
Cold Vine C38-KBF2
Инструкция по эксплуатации
-
Cold Vine C66-KSF2
Инструкция по эксплуатации
-
Cold Vine C38-KSF2
Инструкция по эксплуатации
-
Cold Vine C66-KBF2
Инструкция по эксплуатации
-
Cold Vine C121-KBТ1
Инструкция по эксплуатации
-
Cold Vine C110-KBТ2
Инструкция по эксплуатации
-
Cold Vine C126-KBF2
Инструкция по эксплуатации
-
Cold Vine C126-KSF2
Инструкция по эксплуатации
-
Cold Vine C18-KSB1
Инструкция по эксплуатации
-
Cold Vine C12-KSF1
Инструкция по эксплуатации
-
Cold Vine C24-KBF2
Инструкция по эксплуатации
-
Cold Vine MCA-28WG
Инструкция по эксплуатации
-
Cold Vine C7-KST1
Инструкция по эксплуатации
-
Cold Vine C66-WM1
Инструкция по эксплуатации
-
Cold Vine MCA-28B
Инструкция по эксплуатации