Candy CMW 1771 DW (аналог CMW 7117 DW) - инструкции и руководства
Микроволновая печь Candy CMW 1771 DW (аналог CMW 7117 DW) - инструкции пользователя по применению, эксплуатации и установке на русском языке читайте онлайн в формате pdf
Инструкции:
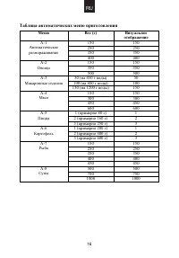
Инструкция по эксплуатации Candy CMW 1771 DW (аналог CMW 7117 DW)
1
2
3
4
5
6
7
8
9
10
11
12
13
14
15
16
17
18
19
20
21
22
23
24
25
26
27
28
29
30
31
32
33
34
35
36
37
38
39
40
41
42
43
44
45
46
47
48
49
50
51
52
53
54
55
56
57
58
59
Candy Микроволновые печи Инструкции
-
Candy 20 GDFB
Инструкция по эксплуатации
-
Candy 20 GDFX
Инструкция по эксплуатации
-
Candy CMG 2070 M
Инструкция по эксплуатации
-
Candy CMG 2071 M
Инструкция по эксплуатации
-
Candy CMG 25 DCW
Инструкция по эксплуатации
-
Candy CMG 7317 DW
Инструкция по эксплуатации
-
Candy CMG 7417 DS
Инструкция по эксплуатации
-
Candy CMG 9523 DB
Инструкция по эксплуатации
-
Candy CMGA20TNDB
Инструкция по эксплуатации
-
Candy CMGA20TNDB-07
Инструкция по эксплуатации
-
Candy CMW 20 DW
Инструкция по эксплуатации
-
Candy CMW 2070S
Инструкция по эксплуатации
-
Candy CMW 7017 EG
Инструкция по эксплуатации
-
Candy CMW 7017 M
Инструкция по эксплуатации
-
Candy CMW 7017 MG
Инструкция по эксплуатации
-
Candy CMW 7117 DW
Инструкция по эксплуатации
-
Candy CMW 7217 DS
Инструкция по эксплуатации
-
Candy CMW 7317 DY
Инструкция по эксплуатации
-
Candy CMW 8525 ECC
Инструкция по эксплуатации
-
Candy CMW 9025 EG
Инструкция по эксплуатации