AOC E2180SWN Black - инструкции и руководства
Монитор AOC E2180SWN Black - инструкции пользователя по применению, эксплуатации и установке на русском языке читайте онлайн в формате pdf
Инструкции:
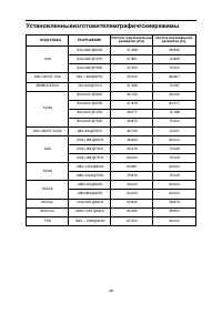
Инструкция по эксплуатации AOC E2180SWN Black
1
2
3
4
5
6
7
8
9
10
11
12
13
14
15
16
17
18
19
20
21
22
23
24
25
26
27
28
29
30
31
32
33
34
35
36
37
38
39
40
41
42
43
44
45
46
47
48
49
50
51
52
53
54
55
56
57
58
AOC Мониторы Инструкции
-
AOC 22B2AM
Инструкция по эксплуатации
-
AOC 22E1D
Инструкция по эксплуатации
-
AOC 22E1Q
Инструкция по эксплуатации
-
AOC 22P1
Инструкция по эксплуатации
-
AOC 22P1D
Инструкция по эксплуатации
-
AOC 22P2DU
Инструкция по эксплуатации
-
AOC 22P2Q
Инструкция по эксплуатации
-
AOC 22V2Q
Инструкция по эксплуатации
-
AOC 24B2XD
Инструкция по эксплуатации
-
AOC 24B2XH
Инструкция по эксплуатации
-
AOC 24E1Q
Инструкция по эксплуатации
-
AOC 24G2U
Инструкция по эксплуатации
-
AOC 24G2U/BK
Инструкция по эксплуатации
-
AOC 24P1
Инструкция по эксплуатации
-
AOC 24P2C
Инструкция по эксплуатации
-
AOC 24V2Q
Инструкция по эксплуатации
-
AOC 27B2DA
Инструкция по эксплуатации
-
AOC 27B2H
Инструкция по эксплуатации
-
AOC 27B2H/EU
Инструкция по эксплуатации
-
AOC 27E2QAE
Инструкция по эксплуатации