Страница 3 - Безопасность; Национальные условные обозначения
1 Безопасность Национальные условные обозначения В следующих подразделах описываются национальные условные обозначения, используемые в данном документе. Примечания, напоминания и предупреждения В данном руководстве текстовые блоки могут быть выделены с помощью значка, а также жирного шрифта или курс...
Страница 4 - Электропитание
2 Электропитание Монитор должен работать с источником питания, тип которого указан на этикетке. В случае отсутствия и н ф о р м а ц и и о ха р а к те р и с т и к а х с ет и эл е к т р о п и та н и я , п од а ва е м о го в п о м е ще н и е , в к ото р о м буд ет эксплуатироваться монитор, следует обр...
Страница 5 - Установка
3 Установка Не ставьте монитор на неустойчивую тележку, стойку, штатив, кронштейн или стол. В результате падения монитора может произойти травмирование человека и серьезное повреждение самого устройства. Используйте только тележку, стойку, штатив, кронштейн или стол, рекомендованные производителем и...
Страница 6 - Очистка
4 Очистка Регулярно производите очистку корпуса устройства тканью. Для удаления пятен можно использовать только мягкие моющие средства. Сильнодействующие моющие средства могут повредить поверхность устройства. Во время очистки следите, чтобы моющее средство не попало внутрь устройства. Используемая ...
Страница 7 - Прочее
5 Прочее Если от изделия начнет исходить странный запах, звук или из него пойдет дым, следует НЕМЕДЛЕННО отсоединить штепсельную вилку кабеля питания и обратиться в сервисный центр. Необходимо следите за тем, чтобы вентиляционные отверстия устройства не перекрывались столом или шторой. Во время рабо...
Страница 8 - Сборка; Комплект поставки
6 Сборка Комплект поставки * * * * * CD Manual Power Cable DP Cable HDMI Cable VGA Cable Warranty Card Stand Base В комплекты поставки для разных стран и регионов могут входить различные наборы сигнальных кабелей (кабель аналогового сигнала, кабель DP, кабель HDMI). Для получения дополнительных свед...
Страница 10 - Регулировка угла обзора
8 Регулировка угла обзора Для оптимального просмотра рекомендуется прямо смотреть на экран монитора и отрегулировать угол монитора в соответствии со своими предпочтениями. Придерживайте стойку, чтобы при изменении угла обзора монитор не упал. Угол наклона монитора регулируется в указанном ниже диапа...
Страница 11 - Подключение монитора
9 Подключение монитора Кабельные разъемы на задней стенке монитора для подключения к компьютеру 7 1 2 3 4 6 5 1. HDMI-22. HDMI-13. DisplayPort4. D-SUB5. Line in6. Наушники7. Электропитание Подключение к ПК 1. Плотно вставьте шнур питания в соответствующий разъем на задней панели монитора.2. Выключит...
Страница 12 - Уcтанoвка кpoнштeйна для кpeплeния на cтeну
10 Уcтанoвка кpoнштeйна для кpeплeния на cтeну Подготовка к установке дополнительного кронштейна для крепления монитора к стене. Монитор можно прикрепить к рычагу для крепления к стене, который приобретается отдельно. Отключите питание перед выполнением этой процедуры. Выполните следующие действия: ...
Страница 13 - Функция Adaptive-Sync
11 Функция Adaptive-Sync 1. Функция Adaptive-Sync работает с DP/HDMI.2. Совместимые видеокарты: ниже приводится список рекомендованных видеокарт. Аналогичный список представлен на веб-сайте www.AMD.com • Radeon™ RX Vega серии• Radeon™ RX 500 серии• Radeon™ RX 400 серии• Radeon™ R9/R7 300 серии ( за ...
Страница 14 - Настройка; Кнопки управления
12 Настройка Кнопки управления 1 2 3 4 5 1 Источник / Авто / Выход 2 Игровой режим / < 3 Прицел / > 4 Меню / Ввод 5 Питание Питание Нажмите кнопку «Питание», чтобы включить монитор. Меню / Ввод Если экранное меню закрыто, нажмите эту кнопку для вызова экранного меню. Если меню отображается, эт...
Страница 25 - Поиск и устранение неисправностей
23 Поиск и устранение неисправностей Проблема и вопрос Возможное решение Индикатор питания не горит Убедитесь, что кнопка питания включена, а шнур питания подключен надлежащим образом к сетевой розетке с заземлением и к монитору. Нет изображения на экране Шнур питания подсоединен правильно? Проверьт...
Страница 26 - Технические характеристики; Общие технические характеристики
24 Нормативные требования и обслуживание Ознакомьтесь с разделом «Сведения о нормативных требованиях и обслуживании» руководства на компакт-диске или на веб-сайте www.aoc. com. (Найдите модель, приобретенную в вашей стране, а затем «Сведения о нормативных требованиях и обслуживании» на странице подд...
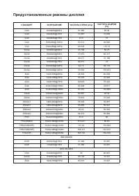
Страница 27 - Предустановленные режимы дисплея
25 Предустановленные режимы дисплея СТАНДАРТ РАЗРЕШЕНИЕ ЧАСТОТА СТРОК (кГц) ЧАСТОТА КАДРОВ (Гц) VGA 640x480@60Hz 31.469 59.94 VGA 640x480@72Hz 37.861 72.809 VGA 640x480@75Hz 37.5 75 VGA 640x480@100Hz 50.313 99.826 VGA 640x480@120Hz 60.938 119.72 SVGA 800x600@56Hz 35.156 56.25 SVGA 800x600@60Hz 37.87...
Страница 28 - Назначение контактов
26 Назначение контактов Номер контакта Наименование сигнала Номер контакта Наименование сигнала Номер контакта Наименование сигнала 1. Данные TMDS 2+ 9. Данные TMDS 0- 17. Земля DDC/CEC 2. Данные TMDS 2 экранирование 10. TMDS-синхронизация + 18. Питание +5 В 3. Данные TMDS 2- 11. Экранирование TMDS-...
Страница 30 - Технология Plug and Play
28 Технология Plug and Play Функция Plug & Play DDC2B Данный монитор поддерживает функции VESA DDC2B в соответствии со стандартом VESA DDC. Эти функции позволяют компьютеру распознавать монитор и, в зависимости от используемой версии DDC, получать от монитора дополнительную информацию о его возм...