Страница 5 - Предостережение; . Международные символы; Символ; Значение
4 Проверьте измерительные провода и гнезда на отсутствие повреждений изоляции. Выполните проверку измерительных проводов перед использованием измерительного прибора. Не используйте измерительный прибор, если он работает с отклонениями. Может быть повреждена защита. При возникновении сомнения, пр...
Страница 7 - ОБЩИЕ ИНСТРУКЦИИ И УКАЗАНИЯ ПО ЭКСПЛУАТАЦИИ; Рис. 5 и Таблица 5 описывают функции кнопок.
6 4. ОБЩИЕ ИНСТРУКЦИИ И УКАЗАНИЯ ПО ЭКСПЛУАТАЦИИ Для ознакомления с характеристиками и функциями измерительного прибора, изучите следующее: Рис. 2 и Таблица 2 описывают измерительные/выходные гнезда. Рис. 3 и Таблица 3 описывают измерительные функции последних четырех положений поворотного перек...
Страница 8 - COM: Общие для всех измерений и выходов
7 Таблица2. . Измерительные/выходные гнезда Позиция Функция Измерительный сигнал (+): постоянный ток, переменный ток, частота Измерительный сигнал (+): постоянное напряжение, постоянное напряжение мВ, переменное напряжение, сопротивление, TC, RTD. COM: Общие для всех измерений и выходов Выходной сиг...
Страница 13 - ХМТ
12 ▲ и ▼ : Увеличение или уменьшение значения выбранного цифрового разряда при задании/изменении величины выходного параметра. Удержание более 1 с приводит к автоматическому изменению величины. ON/OFF HOLD : Включение/выключение формирования выбранного выходного сигнала. На дисплее отображается теку...
Страница 17 - автоматический по закону пилообразному (
16 автоматический по закону пилообразному ( М ) или ступенчатому ( г г ). 7) Формирование: Увеличение значения выбранного цифрового разряда при задании/изменении величины выходного параметра. Удержание более 1 с приводит к автоматическом у изменению величины. В режимах (25%Set) и (100%Set) меняет ве...
Страница 20 - ТЕХНИЧЕСКИЕ ХАРАКТЕРИСТИКИ
19 15) Единица величины, отображаемая в данной момент на вспомогательной цифровой строке. 16) Отображается при включении режима формирования постоянного тока в токовой петле с внешним источником питания постоянного тока (5-24) В. 17) Отображает выбранный (один) закон изменения величины выходного ток...
Страница 25 - заменяйте батарею, как только на экране покажется значок
24 7. ВКЛЮЧЕНИЕ ПИТАНИЯ ПРИБОРА 7.1. Функционирование клавиши питания Для включения питания прибора нажмите клавишу . Повторное нажатие этой клавиши в течение 2-х и более секунд отключает электропитание. Когда питание включено, прибор включает внутреннюю самодиагностику и полноэкранный режим отображ...
Страница 26 - ПОРЯДОК ПРОВЕДЕНИЯ ИЗМЕРЕНИЙ; прикоснуться щупами к проверяемым точкам; Входной импеданс; . Более подробную информацию смотреть; Выбор диапазона измерений; установить роторный переключатель в положение
25 8. ПОРЯДОК ПРОВЕДЕНИЯ ИЗМЕРЕНИЙ Правильная последовательность измерений: 1. вставить измерительный провод в соответствующее гнездо на передней панели прибора 2. установить поворотный переключатель режимов в нужное положение 3. прикоснуться щупами к проверяемым точкам 4. считать результат на ж/к д...
Страница 28 - Измерение температуры с помощью термопары (ТС); вставить один конец измерительного провода в гнездо; Hi; другой конец к выходу ТС, как показано на рисунке 7.
27 8.7. Измерение температуры с помощью термопары (ТС) 1. вставить один конец измерительного провода в гнездо Hi (MEASURE - измерение) и гнездо COM и подсоединить другой конец к выходу ТС, как показано на рисунке 7. 2. установить поворотный переключатель в положение 3. нажать синюю кнопку и выбрать ...
Страница 30 - Установите поворотный переключатель режимов в положение; RTD; и нажмите синюю кнопку для выбора режима
29 Внимание При использовании в подключенном устройстве 4-х проводной схемы имеется погрешность формирования сопротивления (около 0,1 Ом), так как в приборе используется 2-х проводная схема. Если эквивалентная емкость подключенного устройства более 0,1 мкФ, то значение формируемого сопротивления буд...
Страница 31 - СОМ; Установите поворотный переключатель режимов в положение; ТС; и нажмите синюю кнопку для выбора; mV»; или
30 9.2. Формирование напряжение постоянного тока и статических характеристик термопар (ТС ) 1. Подключите исследуемое устройство к выходным (OUTPUT) гнездам прибора СОМ и Hi в соответствии с рис. 9. 2. Установите поворотный переключатель режимов в положение ТС mV (или П V) и нажмите синюю кнопку для...
Страница 32 - Формирование частоты выходных импульсов
31 9.3. Формирование частоты выходных импульсов 1. Подключите исследуемое устройство к выходным (OUTPUT) гнездам прибора СОМ и Hi в соответствии с рис. 9. 2. Установите поворотный переключатель режимов в положение П V и нажмите синюю кнопку для выбора режима формирования: напряжения постоянного тока...
Страница 36 - ПРОВЕДЕНИЕ ПОВЕРКИ; Государственная система обеспечения единства измерений; УТВЕРЖДАЮ; Зам. руководителя ГЦИ СИ; « » 2007 г.; Методика поверки
35 10. ПРОВЕДЕНИЕ ПОВЕРКИ Государственная система обеспечения единства измерений УТВЕРЖДАЮ Зам. руководителя ГЦИ СИ ФГУ «Менделеевский ЦСМ» по Сергиево-Посадскому филиалу ГЦИ СИ ______________ Е.А. Павлюк « » 2007 г. Мультиметры-калибраторы АКИП-2201 фирмы Shen Zhen Victor Hi-tech Co., Ltd, Китай Ме...
Страница 37 - Методика поверки», распространяется на мультиметры-калибраторы
36 Методика поверки», распространяется на мультиметры-калибраторы АКИП-2201 (далее мультиметры-калибраторы) фирмы Shen Zhen Victor Hi-tech Co., Ltd, Китай, предназначенные для измерения постоянного и среднеквадратичных значений переменного напряжений, силы постоянного и среднеквадратичных значений п...
Страница 38 - Операции поверки
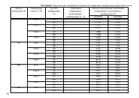
37 10.1. Операции поверки При проведении поверки проводят операции, указанные в таблице 13. Таблица13. Операции поверки № п/п Операция поверки Номер пункта методики поверки Проведение операции при поверке первичной периодической Внешний осмотр 10.6.1 Да Да Опробование 10.6.2 Да Да Определение метрол...
Страница 39 - Средства поверки
38 Определение основной погрешности формирования постоянного напряжения 10.6.3.2.1 Да Да Определение основной погрешности формирования постоянного тока 10.6.3.2.2 Да Да Определение основной погрешности формирования электрического сопротивления 10.6.3.2.3 Да Да Определение основной погрешности формир...
Страница 41 - характеристики которых не хуже приведенных в таблице 2.; Требования безопасности
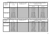
40 10.6.3.2.6 Частотомер Ч3-63/1 Диапазон измерений от 0,1 Гц до 1500 МГц, погрешн. ±5 10 -7 f Примечание: Допускается применять другие средства поверки, метрологические и технические характеристики которых не хуже приведенных в таблице 2. 10.3. Требования безопасности При проведении поверки необх...
Страница 42 - Определение метрологических характеристик
41 - отсутствие механических повреждений корпуса, лицевой панели, органов управления, соединительных элементов, индикаторных устройств, нарушающих работу мультиметра-калибратора или затрудняющих поверку; - отсутствие повреждений измерительных проводов и их наконечников. 10.6.2 Опробование Опробовани...
Страница 55 - где F; – заданное значение выходной частоты мультиметра-калибратора; для всех диапазонов измерений не должна превышать
54 Рис. 7 Схема подключения частотомера Ч3-63/1 для поверки по частоте. Основная абсолютная погрешность формирования частоты вычисляется по формуле: Δ F =F уст -F изм где F уст – заданное значение выходной частоты мультиметра-калибратора; F изм – частота, измеренная частотомером. Δ F для всех диапаз...
Страница 56 - Оформление результатов поверки; Положительные результаты поверки мультиметра-калибратора
55 10.7. Оформление результатов поверки 10.7.1 Положительные результаты поверки мультиметра-калибратора АКИП-2201 оформляют свидетельством о поверке в соответствии с ПР 50.2.006. 10.7.2 При несоответствии результатов поверки мультиметра-калибратора АКИП-2201 требованиям любого из пунктов настоящей м...
Страница 57 - Приложение А
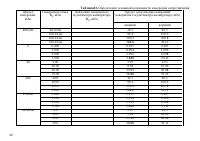
56 Приложение А Таблица19. Определение основной погрешности измерения напряжения постоянного тока Предел измерения, В Поверяемая точка U 0 , В Показания поверяемого мультиметра- калибратора U X , В Предел допускаемых показаний поверяемого мультиметра-калибратора, В нижний верхний 40 мВ 4,00 мВ 3,92 ...
Страница 68 - Приложение Б
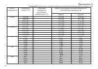
67 Приложение Б Таблица35. Определение основной погрешности формирования напряжения постоянного тока Предел формиро- вания, В Поверяемая точка U 0 , В Показания эталонного мультиметра U X , В Предел допускаемых показаний эталонного мультиметра, В нижний верхний 100 мВ 10,0 мВ 9,6 мВ 10,4 мВ 20,0 мВ ...
Страница 75 - ТЕХНИЧЕСКОЕ ОБСЛУЖИВАНИЕ; должны проводиться только квалифицированным персоналом; Уход за поверхностью и чистка прибора; Во избежание электрического удара:
74 11. ТЕХНИЧЕСКОЕ ОБСЛУЖИВАНИЕ Данный раздел содержит несколько основных процедур обслуживания. Ремонт, калибровка и обслуживание, не указанные в данном руководстве, должны проводиться только квалифицированным персоналом . При необходимости проведения процедур технического обслуживания, не указанны...
Страница 76 - Рисунок 11. Замена источника питания и предохранителей; против часовой стрелки таким
75 Замена батарей выполняется описанным ниже способом. Пример показан на рисунке 11. Используйте четыре щелочных батареи AAA. Рисунок 11. Замена источника питания и предохранителей 1. Уберите измерительные провода и отключите питание (OFF) измерительного прибора. 2. Специальные действия: снимите защ...
Страница 77 - Замена предохранителя; Предупреждение; смотрите рисунок 11; против часовой стрелки таким образом, чтобы
76 11.4. Замена предохранителя Предупреждение Во избежание травм персонала или повреждения прибора используйте для замены только предохранители, соответствующие данным спецификациям. Спецификации предохранителей: для F1 - 63mA 250V, для F2 - 0.5A 250V, быстроплавкие. Защитный предохранитель F2 (0.5A...
Страница 78 - обтянуть коробку пластиковой лентой и опломбировать; Условия транспортирования; Условия транспортирования приборов по ГОСТ 22261-94.
77 12. ПРАВИЛА ТРАНСПОРТИРОВАНИЯ 12.1. Тара, упаковка и маркировка упаковки Для обеспечения сохранности прибора при транспортировании применена укладочная коробка с амортизаторами из пенопласта. Упаковка прибора производится в следующей последовательности: 1. коробку с комплектом комбинированным (ЗИ...
Страница 79 - ГАРАНТИЙНЫЕ ОБЯЗАТЕЛЬСТВА; со дня продажи прибора.
78 13. ГАРАНТИЙНЫЕ ОБЯЗАТЕЛЬСТВА Фирма - изготовитель (дилер) гарантирует соответствие параметров прибора данным, изложенным в разделе «Технические характеристики» при условии соблюдения потребителем правил эксплуатации, технического обслуживания и хранения, указанных в настоящем Руководстве. Гарант...