Страница 46 - Посетите Интернет-магазин по адресу
ДЛЯ ОПТИМАЛЬНЫХ РЕЗУЛЬТАТОВ Благодарим Вас за выбор данного продукта AEG. Этот продукт будет безупречно служить Вам долгие годы – ведь мы создали его с помощью инновационных технологий, которые облегчат Вашу жизнь и создадут качества, которые Вы не найдете в привычных приборах. Потратьте немного вре...
Страница 47 - СОДЕРЖАНИЕ
СОДЕРЖАНИЕ 48 Сведения по технике безопасности 52 Описание изделия 53 Панель управления 55 Эксплуатация изделия 56 Установка смягчителя для воды 57 Использование соли для посудомоечных машин 58 Использование моющего средства и ополаскивателя 59 Функция Multitab 60 Загрузка столовых приборов и посуды...
Страница 48 - СВЕДЕНИЯ ПО ТЕХНИКЕ БЕЗОПАСНОСТИ; Безопасность детей и лиц с ограниченными возможностями
СВЕДЕНИЯ ПО ТЕХНИКЕ БЕЗОПАСНОСТИ Прежде чем приступать к установке и использованию, прочтите внимательно данное руководство: • для обеспечения личной безопасности и безопасности вашего имущества; • для охраны окружающей среды. • для обеспечения правильной работы прибора. Всегда храните настоящую инс...
Страница 52 - ОПИСАНИЕ ИЗДЕЛИЯ
ОПИСАНИЕ ИЗДЕЛИЯ 2 3 4 5 6 7 1 8 9 10 1 Верхняя корзина 2 Переключатель жесткости воды 3 Емкость для соли 4 Дозатор моющего средства 5 Дозатор ополаскивателя 6 Табличка с техническими данными 7 Фильтры 8 Нижний разбрызгиватель 9 Верхний разбрызгиватель 10 Потолочный разбрызгиватель 52 Описание издел...
Страница 53 - ПАНЕЛЬ УПРАВЛЕНИЯ
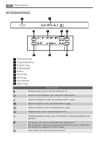
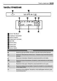
ПАНЕЛЬ УПРАВЛЕНИЯ 9 1 2 3 4 5 6 7 8 1 Кнопка "Вкл/Выкл" 2 Справка по программе 3 Кнопка Program 4 Индикаторы программ 5 Дисплей 6 Кнопка Delay 7 Кнопка Start 8 Индикаторы 9 Кнопка Option Индикаторы Индикатор функции Multitab. Загорается при включении данной функции.Индикатор "Повышенная ...
Страница 55 - Функции; ЭКСПЛУАТАЦИЯ ИЗДЕЛИЯ
Кнопка Option Кнопка функции Multitab Повышенная гигиеничность Одно нажатие ВКЛЮЧЕНО ВЫКЛЮЧЕНО Два нажатия ВЫКЛЮЧЕНО ВКЛЮЧЕНО Три нажатия ВКЛЮЧЕНО ВКЛЮЧЕНО Четыре нажатия ВЫКЛЮЧЕНО ВЫКЛЮЧЕНО Функции Кнопка функции MultitabВ случае использования комбинированных таблетированных моющих средств ("3 ...
Страница 56 - УСТАНОВКА СМЯГЧИТЕЛЯ ДЛЯ ВОДЫ; кости воды в вашей местности.
6. Добавьте в дозатор моющего средства соответствующее количество моющего сред‐ ства. 7. Запустите программу стирки.Если вы используете комбинированное таблетированное моющее средство ("3 в 1", "4 в 1" или "5 в 1"), используйте функцию Multitab (см. раздел "Функция Multit...
Страница 57 - ИСПОЛЬЗОВАНИЕ СОЛИ ДЛЯ ПОСУДОМОЕЧНЫХ МАШИН
Настройка вручную Поверните переключатель жесткости воды в по‐ ложение "1" или "2" (см. таблицу). Электронная регулировка 1. Включите прибор.2. Убедитесь, что прибор находится в режиме настройки. 3. Одновременно нажмите и удерживайте кнопки Delay и Start, пока не замигают ин‐ дикатор...
Страница 58 - ИСПОЛЬЗОВАНИЕ МОЮЩЕГО СРЕДСТВА И ОПОЛАСКИВАТЕЛЯ; Использование моющих средств
ИСПОЛЬЗОВАНИЕ МОЮЩЕГО СРЕДСТВА И ОПОЛАСКИВАТЕЛЯ 20 30 MA X 1 2 3 4 + - 1 2 3 4 5 6 7 Использование моющих средств Для защиты окружающей среды не используйте больше моющего средства, чем необ‐ ходимо. Соблюдайте рекомендации, приведенные изготовителем на упаковке моющего сред‐ ства.Наполнение дозатор...
Страница 59 - Отрегулируйте дозировку ополаскивателя.; ФУНКЦИЯ MULTITAB
2. Заправьте дозатор ополаскивателя 3 ополаскивателем. Отметка «max» показы‐ вает максимальный уровень. 3. Во избежание избыточного пенообразования при мойке, вытрите пролившийся опо‐ ласкиватель салфеткой, хорошо впитывающей жидкость. 4. Закройте дозатор ополаскивателя. Надавите на крышку так, чтоб...
Страница 60 - ЗАГРУЗКА СТОЛОВЫХ ПРИБОРОВ И ПОСУДЫ; Советы; ПРОГРАММЫ МОЙКИ
ЗАГРУЗКА СТОЛОВЫХ ПРИБОРОВ И ПОСУДЫ См. листовку «Примеры загрузки ProClean». Советы • Не помещайте в прибор предметы, которые могут впитывать воду (губки, бытовые ткани). • Удалите остатки пищи с посуды. • Размягчите пригоревшие остатки пищи на посуде. • Загружайте полые предметы (чашки, стаканы и ...
Страница 61 - Показатели потребления; пературы воды, напряжения в сети и количества посуды.; ВЫБОР И ЗАПУСК ПРОГРАММЫ МОЙКИ; Запуск программы мойки без задержки пуска; • Загорится соответствующий индикатор программы.
Программа Тип загрязне‐ ния Тип загрузки Описание про‐ граммы Функция повы‐ шения гигиенич‐ ности 3) Обычная за‐ грязненность Посуда и столовые приборы Предваритель‐ ная мойка Мойка 50°C Ополаскивания Сушка Да, с полезным эффектом Используйте эту программу для бы‐ строго ополаскивания посуды. Это пр...
Страница 63 - УХОД И ОЧИСТКА; Снятие и очистка фильтров
– Программа мойки остановится. • Закройте дверцу. – Выполнение программы мойки продолжится с той точки, в которой она была пре‐ рвана. Отмена программы мойки Внести изменения можно только до начала выполнения программы мойки. Чтобы изменить программу мойки во время ее выполнения, необходимо отменить...
Страница 66 - Результаты мойки и сушки неудовлетворительны
Неисправность Возможная причина Возможный способ устране‐ ния Перегорел предохранитель в щитке с предохранителями. Замените предохранитель. Установлена задержка пуска. • Отмените задержку пуска. • После завершения обрат‐ ного отсчета времени про‐ изойдет автоматический запуск программы мойки. После ...
Страница 67 - Включение дозатора ополаскивателя; • Индикаторы программ AUTO и SILENT погаснут.; ТЕХНИЧЕСКИЕ ДАННЫЕ; Технические данные
Неисправность Возможная причина Возможное решение Неплотно завинчен колпачок емкости для соли. Убедитесь, что колпачок емко‐ сти для соли установлен на‐ длежащим образом. На стеклянной и фаянсовой посуде видны потеки, беле‐ сые пятна или голубоватая пленка. Слишком большое количе‐ ство ополаскивател...
Страница 68 - ОХРАНА ОКРУЖАЮЩЕЙ СРЕДЫ; ответствующие контейнеры для сбора вторичного сырья.
Высота 818 - 898 мм Глубина 575 мм Давление в водопроводной системе Минимум 0,5 бар (0,05 МПа) Максимум 8 бар (0,8 МПа) Подача воды 1) Холодная или горячая вода максимум 60 °C Вместимость Комплектов посуды 12 1) Присоедините наливной шланг к водопроводному крану с резьбой 3/4". Параметры электро...