Страница 22 - УСЛОВНЫЕ ЗНАКИ
СОДЕРЖАНИЕ 24 СВЕДЕНИЯ ПО ТЕХНИКЕ БЕЗОПАСНОСТИ26 ОПИСАНИЕ ИЗДЕЛИЯ27 ПАНЕЛЬ УПРАВЛЕНИЯ28 ПРОГРАММЫ30 РЕЖИМЫ31 ПЕРЕД ПЕРВЫМ ИСПОЛЬЗОВАНИЕМ34 ЕЖЕДНЕВНОЕ ИСПОЛЬЗОВАНИЕ37 УХОД И ОЧИСТКА38 ПОИСК И УСТРАНЕНИЕ НЕИСПРАВНОСТЕЙ41 УСТАНОВКА42 ТЕХНИЧЕСКИЕ ДАННЫЕ ОХРАНА ОКРУЖАЮЩЕЙ СРЕДЫ Материалы с символом следу...
Страница 23 - ПОДДЕРЖКА ПОТРЕБИТЕЛЕЙ И СЕРВИСНОЕ ОБСЛУЖИВАНИЕ
ДЛЯ ОПТИМАЛЬНЫХ РЕЗУЛЬТАТОВ Благодарим Вас за выбор данного продукта AEG. Этот продукт будет безупречно служить Вам долгие годы – ведь мы создали его с помощью инновационных технологий, которые облегчат Вашу жизнь и создадут качества, которые Вы не найдете в привычных приборах. Потратьте немного вре...
Страница 24 - СВЕДЕНИЯ ПО ТЕХНИКЕ БЕЗОПАСНОСТИ
СВЕДЕНИЯ ПО ТЕХНИКЕ БЕЗОПАСНОСТИ Перед установкой и эксплуатацией прибора внимательно ознакомьтесь с приложенным руководством. Производитель не несет ответ‐ ственность за травмы/повреждения, получен‐ ные/вызванные неправильной установкой и эксплуатацией. Обязательно храните данное руководство вместе...
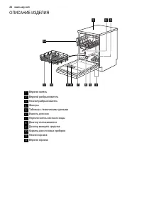
Страница 26 - ОПИСАНИЕ ИЗДЕЛИЯ
ОПИСАНИЕ ИЗДЕЛИЯ 2 3 5 4 8 10 6 7 12 9 11 1 1 Верхняя панель 2 Верхний разбрызгиватель 3 Нижний разбрызгиватель 4 Фильтры 5 Табличка с техническими данными 6 Емкость для соли 7 Переключатель жесткости воды 8 Дозатор ополаскивателя 9 Дозатор моющего средства 10 Корзина для столовых приборов 11 Нижняя...
Страница 27 - ПАНЕЛЬ УПРАВЛЕНИЯ
ПАНЕЛЬ УПРАВЛЕНИЯ 1 2 6 A B C D E 2 3 5 4 1 Кнопка «Вкл/Выкл» 2 Кнопки выбора программ 3 Кнопка отсрочки пуска 4 Индикаторы 5 Дисплей 6 Кнопки режимов Индикаторы ОписаниеИндикатор мойки.Индикатор функции Multitab.Индикатор отсутствия соли. Во время работы программы данный инди‐ катор не горит.Индика...
Страница 28 - ПРОГРАММЫ
ПРОГРАММЫ Программа 1) Степень за‐ грязнения Тип загрузки Этапы программы Продол‐ житель‐ ность (мин) Энерго‐ потребле‐ ние (кВт·ч) Вода (л) 2) Все Посуда, сто‐ ловые прибо‐ ры, кастрюли и сковороды Предварительная мойка Мойка, 45°C или 70°C Ополаскивание Сушка 90-140 1.1-1.8 12-23 3) Сильное за‐ гр...
Страница 30 - РЕЖИМЫ; ФУНКЦИЯ MULTITAB
РЕЖИМЫ ФУНКЦИЯ MULTITAB Включайте данную функцию только в случае использования комбинированного таблетиро‐ ванного моющего средства. Данная функция прекращает подачу опола‐ скивателя и соли. Соответствующие индика‐ торы гаснут. Продолжительность работы программы мо‐ жет увеличиваться. Включение функ...
Страница 31 - ПЕРЕД ПЕРВЫМ ИСПОЛЬЗОВАНИЕМ; НАСТРОЙКА УСТРОЙСТВА ДЛЯ
ПЕРЕД ПЕРВЫМ ИСПОЛЬЗОВАНИЕМ 1. Убедитесь, что установленные настройки смягчителя для воды соответствуют уров‐ ню жесткости воды в Вашем регионе. В противном случае настройте смягчитель для воды. Обратитесь в местную службу водоснабжения, чтобы узнать уровень жесткости воды в вашей местности. 2. Запр...
Страница 33 - ЗАПОЛНЕНИЕ ДОЗАТОРА ОПОЛАСКИВАТЕЛЯ
ЗАПОЛНЕНИЕ ДОЗАТОРА ОПОЛАСКИВАТЕЛЯ A B D C M AX 1 2 3 4 + - A B D C ПРЕДУПРЕЖДЕНИЕ! Используйте только ополаскиватель для посудомоечных машин. Другие продукты могут привести к поврежде‐ нию прибора. Во время этапа сушки ополаскива‐ тель помогает высушить посуду без потеков и пятен. 1. Нажмите на кно...
Страница 34 - ЕЖЕДНЕВНОЕ ИСПОЛЬЗОВАНИЕ; ЗАГРУЗКА КОРЗИН
ЕЖЕДНЕВНОЕ ИСПОЛЬЗОВАНИЕ 1. Откройте водопроводный кран.2. Включите прибор нажатием на кнопку «Вкл/Выкл». Убедитесь, что прибор нахо‐ дится в режиме настройки. См. «НА‐ СТРОЙКА И ЗАПУСК ПРОГРАММЫ».• Если горит индикатор отсутствия соли, наполните емкость для соли. • Если горит индикатор отсутствия о...
Страница 37 - УХОД И ОЧИСТКА; ЧИСТКА ФИЛЬТРОВ
УХОД И ОЧИСТКА ВНИМАНИЕ! Перед выполнением операций по чистке и уходу выключите прибор и извлеките вилку сетевого шнура из розетки. Грязные фильтры засоренность раз‐ брызгивателей приводит к ухудше‐ нию качества мойки. Периодически проверяйте состояние фильтров и, при необходимости, про‐ водите их о...
Страница 38 - ПОИСК И УСТРАНЕНИЕ НЕИСПРАВНОСТЕЙ; РЕЗУЛЬТАТЫ МОЙКИ И СУШКИ НЕУДОВЛЕТВОРИТЕЛЬНЫ
ПОИСК И УСТРАНЕНИЕ НЕИСПРАВНОСТЕЙ Прибор не запускается или останавливается во время работы. Сначала попытайтесь найти решение пробле‐ мы (см. таблицу). В противном случае обрат‐ итесь в сервисный центр. При некоторых неисправностях на дисплей выводится код неисправности:• - В прибор не поступает во...
Страница 41 - УСТАНОВКА; УСТАНОВКА ПОД КУХОННУЮ СТОЛЕШНИЦУ
УСТАНОВКА ВНИМАНИЕ! См. Главу «СВЕДЕНИЯ ПО ТЕХНИКЕ БЕЗОПАСНОСТИ». УСТАНОВКА ПОД КУХОННУЮ СТОЛЕШНИЦУ 570-600 mm 600 mm 820 mm 1. Проверьте, чтобы размеры ниши соответствовали указанным на рисунке размерам. 2. Установите прибор рядом с водо‐ проводным вентилем и сливом в канализацию. 4 3 2 1 3. Снимит...
Страница 42 - ПОДКЛЮЧЕНИЕ К СЛИВУ; ТЕХНИЧЕСКИЕ ДАННЫЕ
ПОДКЛЮЧЕНИЕ К СЛИВУ max. 4000 mm min. 400 mm max. 850 mm Подсоедините сливной шланг следующим об‐ разом:• К сливной трубе раковины. Подсоедините сливной шланг под кухонной столешницей. Это исключит попадание сточной воды из раковины обратно в прибор. • К стояку с вентиляционным отверстием. Внутренни...