Страница 2 - Содержание; Предотвращение материаль-
ru 2 Для получения дополнительной информации см.Цифровое руководство пользователя. Содержание 1 Безопасность................................. 4 1.1 Общие указания ............................ 41.2 Использование по назначению ....... 41.3 Ограничение круга пользова- телей ..............................
Страница 3 - 8 Транспортировка, хранение и
ru 3 16.2 Очистка кюветы для моющих средств ..................................... 33 16.3 Очистка откачивающего насо- са ............................................. 34 17 Устранение неисправностей ..... 37 17.1 Экстренная разблокировка ........ 46 18 Транспортировка, хранение и утилизация...........
Страница 4 - ru; Безопасность; Соблюдайте следующие указания по технике безопасности.; Общие указания; Внимательно прочитайте данное руководство.; Использование по назначению; Используйте прибор только:; Ограничение круга пользователей
ru Безопасность 4 1 Безопасность Соблюдайте следующие указания по технике безопасности. 1.1 Общие указания ¡ Внимательно прочитайте данное руководство. ¡ Сохраните инструкцию и информацию о приборе для дальнейше-го использования или для передачи следующему владельцу. ¡ В случае обнаружения поврежд...
Страница 5 - Безопасный монтаж; При установке прибора соблюдайте инструкции по безопасности.; ПРЕДУПРЕЖДЕНИЕ ‒ Опасность поражения электрическим
Безопасность ru 5 Не подпускайте детей младше 3 лет и домашних животных к при-бору. 1.4 Безопасный монтаж При установке прибора соблюдайте инструкции по безопасности. ПРЕДУПРЕЖДЕНИЕ ‒ Опасность поражения электрическим током! При неквалифицированном монтаже прибор может стать источни-ком опасности....
Страница 6 - ПРЕДУПРЕЖДЕНИЕ ‒ Опасность возгорания!
ru Безопасность 6 ▶ Запрещается перегибать, защемлять или переоборудовать сете-вой кабель. ПРЕДУПРЕЖДЕНИЕ ‒ Опасность возгорания! Использование удлиненного сетевого кабеля и не имеющих допус-ка адаптеров опасно. ▶ Не используйте удлинительные кабели или многоместные розет-ки. ▶ Если длины сетевого ...
Страница 7 - Выровняйте прибор c помощью ножек и уровня.; ОСТОРОЖНО ‒ Опасность пореза!; Не прикасайтесь к острым краям прибора.; Безопасная эксплуатация; Используйте прибор только в закрытом помещении.
Безопасность ru 7 ▶ Выровняйте прибор c помощью ножек и уровня. Неправильная прокладка шлангов и соединительных кабелей мо-жет привести к спотыканию. ▶ Прокладывайте шланги и сетевые кабели таким образом, чтобыникто не мог споткнуться о них. Передвигание прибора за выступающие части, например, за д...
Страница 8 - ПРЕДУПРЕЖДЕНИЕ ‒ Риск нанесения вреда здоровью!; Не подпускайте детей к мелким деталям.; ПРЕДУПРЕЖДЕНИЕ ‒ Опасность отравления!; При вставании или опирании на прибор крышка может сломаться.
ru Безопасность 8 ▶ Не используйте для очистки прибора пароочистители, очистителивысокого давления, шланги или душевые установки. ПРЕДУПРЕЖДЕНИЕ ‒ Риск нанесения вреда здоровью! Дети могут оказаться запертыми в приборе и подвергнуть своюжизнь опасности. ▶ Не устанавливайте прибор за дверью, если он...
Страница 9 - Не вставайте и не опирайтесь на открытую дверцу прибора.; ОСТОРОЖНО ‒ Опасность ошпаривания!; Не прикасайтесь к горячему раствору моющего средства.; ОСТОРОЖНО ‒ Опасность химического ожога!
Безопасность ru 9 При вставании или опирании на открытую дверцу прибор можетопрокинуться. ▶ Не вставайте и не опирайтесь на открытую дверцу прибора. ▶ Не оставляйте никакие предметы на дверце прибора. Не касайтесь вращающегося барабана - это может привестик травмам рук. ▶ Дождитесь полной остановки...
Страница 10 - ПРЕДУПРЕЖДЕНИЕ ‒ Опасность травмирования!
ru Безопасность 10 ▶ Во избежание опасностей замена поврежденного сетевого кабе-ля данного прибора может быть выполнена только производи-телем или авторизованной им сервисной службой либо лицом,имеющим аналогичную квалификацию. Проникшая в прибор влага может стать причиной поражения то-ком. ▶ Не ис...
Страница 13 - Опасность травмирования!
Установка и подключение ru 13 Установка и подключение 4 Установка и подключение Установка и подключение 4.1 Распаковка прибора ВНИМАНИЕ! Оставшиеся в барабане предметы, непредназначенные для эксплуатации при-бора, могут стать причиной материаль-ного ущерба и повреждения прибора. ▶ Выньте эти предм...
Страница 14 - Снятие транспортировоч-
ru Установка и подключение 14 Место установки Требования Подставка Закрепите приборс помощью специ-альных накладок → Страница 30 . Деревянная опора Установите прибор на надёжно при-винченную к полувлагозащищённуюдеревяннуюподставку (толщи-ной не менее30 мм). Кухонный гарнитур Прибор можно устанавл...
Страница 16 - Варианты подключения; Выравнивание прибора
ru Установка и подключение 16 Варианты подключения слива воды Эта информация поможет вам подклю-чить прибор к канализации. ВНИМАНИЕ! При откачивании сливной шланг нахо-дится под давлением и может отсоеди-ниться от установленного места подклю-чения. ▶ Обезопасьте сливной шланг от слу-чайного отсоеди...
Страница 17 - Подключение прибора к
Установка и подключение ru 17 3. Затяните контргайки ключом SW17таким образом, чтобы они плотно при-легали к корпусу прибора. При этом придерживайте ножку и непереставляйте её по высоте. 4.7 Подключение прибора к электросети 1. Вставьте вилку сетевого кабеля при-бора в розетку, расположенную вбли-...
Страница 18 - Знакомство с прибором; Прибор
ru Знакомство с прибором 18 Знакомство с прибором 5 Знакомство с прибором Знакомство с прибором 5.1 Прибор Здесь приведен обзор составных частей прибора. 1 2 4 6 3 5 8 7 7 В зависимости от типа прибора отдельные детали на рисунке могут отличаться, напри-мер, по цвету и форме. 1 Крышка для техобслу...
Страница 19 - Кювета для моющих
Знакомство с прибором ru 19 5.2 Кювета для моющих средств 2 3 1 4 1 Вставка для дозирования жид-ких моющих средств 2 Ячейка II: ¡ Моющее средство для основ-ного цикла стирки ¡ Средство для умягчения во-ды ¡ Отбеливатель ¡ Средство для удаления пятен 3 Ячейка : ¡ Мягкий ополаскиватель ¡ Жидкий крах...
Страница 20 - Перед первым; Запуск холостого цикла; Очистка барабана
ru Перед первым использованием 20 Перед первым использованием 6 Перед первым использованием Перед первым использованием Подготовьте прибор к использованию. 6.1 Запуск холостого цикла стирки Перед отправкой с завода прибор про-шел функциональную проверку. Чтобыслить воду, оставшуюся после про-верки...
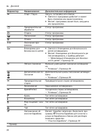
Страница 21 - Дисплей; Индикатор
Дисплей ru 21 Дисплей 7 Дисплей Дисплей На дисплее отображаются текущие уста-новочные значения, опции для выбораили текстовые указания. Пример индикации на дисплее Индикатор Наименование Дополнительная информация 00:40 1 Продолжительностьпрограммы / остав-шееся время вы-полнения програм-мы Предполо...
Страница 24 - Клавиши; Кнопка
ru Клавиши 24 Клавиши 8 Клавиши Клавиши Выбор установок для программы зависит от выбранной программы. Установки длякаждой программы показаны в обзоре . Кнопка Выбор Дополнительная информация Старт/Пауза/До- загрузка ¡ Запустить ¡ Отменить ¡ Приостановить Запустите, отмените или приостановитепрогр...
Страница 26 - Программы; Программа
ru Программы 26 Программы 9 Программы Программы Заметка: На этикетках по уходу за изделиями приведена дополнительная информа- ция по выбору программы. Символы на этикетках по уходу за изделиями Программа Описание макс.загруз-ка (кг) Хлопок Стирка прочных текстильных изделий из хлопка, льна исмеша...
Страница 29 - Speed Perfect
Программы ru 29 Программа Описание макс.загруз-ка (кг) Не используйте средство для стирки шерсти или дели-катного белья, а также жидкое моющее средство. Заметка: Индикация напоминания об очистке барабана мигает, если длительное время не использовалась про-грамма стирки при 60 °C или более высокой ...
Страница 30 - Подготовка белья; Примечания
ru Аксессуары 30 Аксессуары 10 Аксессуары Аксессуары Используйте оригинальные аксессуары. Они адаптированы к данному прибору. Применение Номер заказа Удлинитель шланга подачиводы Удлинитель шланга подво-да воды / шланга Aquastop(2,50 м). WMZ2381 Накладки для крепления Повышение устойчивостиприбора....
Страница 34 - Очистка откачивающего
ru Очистка и уход 34 2. Прижмите вставку и полностью из-влеките кювету для моющих средств. 3. Выдвиньте вставку в направленииснизу вверх. 4. Промойте кювету для моющихсредств и вставку в воде с помощьющётки и просушите. 5. Установите вставку на место и зафик-сируйте ее. 6. Очистите отверстие для кю...
Страница 35 - ОСТОРОЖНО - Опасность
Очистка и уход ru 35 4. Откройте и снимите крышку с отвер-стия для технического обслуживания. 1 2 5. Подставьте ёмкость соответствующе-го объема под отверстие. 6. Выньте сливной шланг из держателя. 7. ОСТОРОЖНО - Опасность ошпаривания! Во время стирки при высокой температуре раствор мою-щего средст...
Страница 36 - Слив
ru Очистка и уход 36 Очистка откачивающего насоса Требование: Откачивающий насос пуст. → Страница 34 1. Поскольку в откачивающем насосеможет оставаться вода, откручивайтекрышку насоса с осторожностью. 2. Очистите внутреннюю поверхность,резьбу крышки насоса и корпус насо-са. 3. Убедитесь, что лопа...
Страница 37 - 7 Устранение неисправностей; ПРЕДУПРЕЖДЕНИЕ; Опасность поражения электрическим током!
Устранение неисправностей ru 37 Устранение неисправностей 17 Устранение неисправностей Устранение неисправностей Вы можете самостоятельно устранить незначительные неисправности вашего прибо-ра. Воспользуйтесь информацией из главы «Устранение неисправностей» перед об-ращением в сервисную службу. Это...
Страница 46 - ровка; 8 Транспортировка, хранение; Демонтаж прибора
ru Транспортировка, хранение и утилизация 46 17.1 Экстренная разблоки- ровка Разблокировка дверцы Требование: Откачивающий насос пуст. → Страница 34 1. ВНИМАНИЕ! Вытекающая вода мо- жет причинить материальный ущерб. ▶ Не открывайте дверцу до тех пор, по-ка через стекло дверцы видна вода.Потяните...
Страница 47 - Риск нанесения вреда здоровью!
Транспортировка, хранение и утилизация ru 47 18.2 Установка транспорти- ровочных креплений Зафиксируйте прибор для транспорти-ровки с помощью транспортировочныхкреплений, чтобы предотвратить повре-ждение. 1. Снимите 4 пластиковые накладки спомощью отвертки. Сохраните пластиковые накладки. 2. Устан...
Страница 48 - 9 Сервисная служба; Гарантия на систему «Ак-
ru Сервисная служба 48 Сервисная служба 19 Сервисная служба Сервисная служба Если у вас имеются вопросы по исполь-зованию, вам не удается самостоятель-но устранить неисправность прибораили требуется отремонтировать прибор,обратитесь в нашу сервисную службу.Подробную информацию о гарантийномсроке и ...
Страница 49 - 0 Параметры расхода
Параметры расхода ru 49 Параметры расхода 20 Параметры расхода Параметры расхода Указанные параметры расхода являются ориентировочными.Данные могут отличаться от приведённых значений в зависимости от давления воды,её жёсткости и исходной температуры, а также температуры помещения, вида, коли-чества...
Страница 52 - Register your new device on MyBosch now and profit directly from:; Благодарим за выбор; Зарегистрируйте свой новый прибор на; Нужна помощь; Bosch
Thank you for buying a Bosch Home Appliance! Register your new device on MyBosch now and profit directly from: • Expert tips & tricks for your appliance • Warranty extension options • Discounts for accessories & spare-parts • Digital manual and all appliance data at hand • Easy access to Bos...