Страница 4 - вны
4 Б e з o па c н oc ть У c л o вны e обозначения В следующих параграфах приведено описание условных обозначений , используемых в данном документе . Примечания , предостережения и предупреждения В данном руководстве встречаются абзацы , выделенные жирным шрифтом или курсивом , которые сопровождаются ...
Страница 5 - Питани
5 Питани e Монитор должен работать только от источника питания , указанного на маркировке . Если вы не уверены в характеристиках сети питания , обратитесь за консультацией к дилеру или в местную энергетическую компанию . Монитор оснащен трехконтактным штекером питания с заземлением , т . е . штекеро...
Страница 9 - Co; Адаптер; CD
9 У c тан o вка Co д ep жим oe BOX Монитор Адаптер Аналоговый кабел CD Руководство Подставка Основание монитора Шнур питания * * * и )поставляются для всех стран и регионов . За информацией обращайтесь к местному продавцу или в филиал AOC. Не все сигнальные кабели( Адаптер Шнур питания *
Страница 25 - Яркость
25 Яркость 1. Нажмите ( Меню ) для отображения МЕНЮ . 2. Кнопками ∨ и ∧ выберите ( Яркость ) инажмите для входа . 3. Кнопками ∨ и ∧ выберитеподменю , и Нажмите для входа . 4. Кнопками ∨ и ∧ отрегулируйте параметр кнопками . 5. Нажмите для выхода . Яркость 0-100 Backlight Adjustment Контрастность 0-1...
Страница 30 - Дополнительно
30 Дополнительно 1. Нажмите ( Меню ) для отображения МЕНЮ . 2. Кнопками ∨ и ∧ выберите ( Дополнительно ), инажмите для входа . 3. Кнопками ∨ и ∧ выберитеподменю , и Нажмите для входа . 4. Кнопками ∨ и ∧ отрегулируйте параметр кнопками . 5. Нажмите для выхода . Выбор вход AUTO/D-SUB Выберитевходного ...
Страница 31 - Выход
31 Выход 1. Нажмите ( Меню ) для отображения МЕНЮ . 2. Кнопками ∨ и ∧ выберите ( Выход ), инажмите длявыхода . 3. Нажмите для выхода . Выход Выход из экранного меню
Страница 52 - бщи
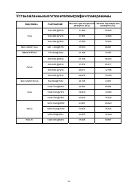
52 Tex нич ec ки e xapa кт ep и c тики O бщи e т ex нич ec ки e xapa кт ep и c тики Жидкокристаллическая панель Номер модели I2 2 80SW D Управляющая система цветной жидкокристаллический дисплей TFT Размер видимого изображения 5 4, 61 cm по диагонали . Шаг пикселей 0, 2 4795 mm (H) x 0,2 4795 mm (V) ...
Страница 55 - Plug and Play
55 Plug and Play Функция Plug & Play DDC2B Данный монитор оснащен VESA DDC2B в соответствии со стандартом VESA DDC STANDARD. Это позволяет монитору сообщать компьютеру свои идентификационные данные и , в зависимости от используемого уровня DDC, передавать дополнительную информацию о характеристи...
Страница 56 - кл
5 6 C т a нд ap т Д e кл apa ция FCC Заявление о соответствии требованиям FCC относительно радиочастотных помех для устройств класса B ПРЕДУПРЕЖДЕНИЕ : ( ДЛЯ МОДЕЛЕЙ С СЕРТИФИКАТОМ FCC) ПРИМЕЧАНИЕ : Настоящее оборудование прошло испытания , показавшие его соответствие ограничениям , относящимся к ча...
Страница 58 - EPA Energy Star
5 8 EPA Energy Star ENERGY STAR® является зарегистрированной торговой маркой США . Являясь партнером ENERGY STAR®, AOC International (Europe) BV и периферия Envision, Inc определили , что данное изделие удовлетворяет рекомендациям ENERGY STAR® по экономии энергии .
Страница 60 - жб; Гарантийные
60 C л y жб a Гарантийные обязательства для Европы ОГРАНИЧЕННАЯ ТРЕХЛЕТНЯЯ ГАРАНТИЯ * Мониторы компании AOC Color, проданные в Европе AOC International (Europe) B.V. гарантирует отсутствие в данном изделии дефектов материалов и изготовления в течение трех (3) лет с момента первой продажи . В течение...
Страница 64 - Политика; ISO
6 4 AOC International (Europe) B.V. Prins Bernhardplein 200 / 6 th floor, Amsterdam, Нидерланды Тел .: +31 (0)20 504 6962 • Факс : +31 (0)20 5046933 Политика компании AOC в отношении пикселей ISO 9241-307 Class 1 25 июля 2013 г . Компания AOC стремится обеспечить высочайшее качество своей продукции ...